Logo PR Vademécum

PR Vade-mécum

AMGEVITA

AMGEN

adalimumabe

Anti-reumático.

Apresentações.

Solução injetável em uma seringa preenchida ou em uma caneta preenchida (SureClick®)*.
AMGEVITA contém 20 mg de adalimumabe em embalagens com 1 seringa preenchida ou 40 mg de adalimumabe em embalagens com 1 ou 2 seringas preenchidas ou canetas preenchidas.
* Caneta - consiste em uma seringa preenchida de dose única descartável (sistema auto-injetor).
USO SUBCUTÂNEO
USO ADULTO E PEDIÁTRICO ACIMA DE 2 ANOS

Composição.

Informações técnicas.

1. INDICAÇÕES
Este medicamento é destinado ao tratamento de:
Artrite reumatoide em pacientes adultos
AMGEVITA é destinado para reduzir os sinais e sintomas, induzir uma resposta clínica e remissão clínica maior, inibir a progressão dos danos estruturais e melhorar a capacidade física em pacientes adultos com artrite reumatoide (AR) ativa de intensidade moderada a grave, que apresentaram resposta inadequada a uma ou mais drogas anti-reumáticas modificadoras do curso da doença (DMARDs).
AMGEVITA é destinado ao tratamento da artrite reumatoide grave, ativa e progressiva em pacientes não tratados com metotrexato previamente.
AMGEVITA pode ser utilizado isoladamente ou em combinação com metotrexato ou outra DMARD.
Artrite psoriásica em pacientes adultos
AMGEVITA é destinado para reduzir os sinais e sintomas da artrite psoriásica (APs). O medicamento demonstrou reduzir a taxa de progressão das lesões articulares periféricas, conforme medido por raio-X em pacientes com subtipos poliarticular simétrico da doença, e melhora da função física.
AMGEVITA pode ser utilizado isoladamente ou em combinação a drogas anti-reumáticas modificadoras do curso da doença DMARDs.
Espondiloartrite axial em pacientes adultos
- Espondilite anquilosante (EA)
AMGEVITA é destinado ao tratamento da espondilite anquilosante ativa em pacientes que responderam inadequadamente à terapia convencional.
- Espondiloartrite axial não radiográfica (espondiloartrite axial sem evidência radiográfica de EA)
AMGEVITA é destinado ao tratamento de pacientes adultos com espondiloartrite axial grave sem evidência radiográfica de EA que possuam sinais objetivos de inflamação (PCR elevada e/ou ressonância magnética) e que responderam inadequadamente ou que sejam intolerantes aos medicamentos anti-inflamatórios não esteroidais
Doença de crohn em pacientes adultos
AMGEVITA é destinado para reduzir sinais e sintomas, induzir e manter a remissão clínica em pacientes adultos com doença de Crohn (DC) ativa de intensidade moderada a grave, que apresentaram resposta inadequada à terapia convencional.
AMGEVITA também é destinado para reduzir sinais e sintomas e induzir remissão clínica em pacientes que perderam resposta ou são intolerantes ao infliximabe.
Colite ulcerativa ou retocolite ulcerativa
AMGEVITA é destinado ao tratamento da colite ulcerativa ou retocolite ulcerativa ativa moderada a grave em pacientes adultos, que apresentaram uma resposta inadequada à terapia convencional incluindo corticosteroides e/ou 6-mercaptopurina (6-MP) ou azatioprina (AZA), ou em pacientes que são intolerantes ou contraindicados para estas terapias. AMGEVITA induz e mantém a cicatrização da mucosa nestes pacientes, reduz a hospitalização relacionada com a doença e suas causas e, melhora a qualidade de vida. O uso de corticosteroide pode ser reduzido ou descontinuado.
Psoríase em placas em pacientes adultos
AMGEVITA é destinado ao tratamento de psoríase em placas crônica moderada a grave em pacientes adultos com indicação de terapia sistêmica.
Hidradenite Supurativa em pacientes adultos
AMGEVITA é destinado para reduzir os sinais e sintomas de hidradenite supurativa ativa moderada a grave em pacientes adultos, nos quais a terapia antibiótica foi inadequada, incluindo o tratamento de lesões inflamatórias e prevenção do agravamento de abscessos e fístulas.
Uveíte em pacientes adultos
AMGEVITA é destinado ao tratamento de uveíte não infecciosa intermediária, posterior ou pan-uveíte, em pacientes adultos que tenham resposta inadequada ao uso de corticosteroides, que necessitem de redução/retirada de corticosteroides (corticosteroid-sparing) ou nos pacientes no qual o uso de corticosteroides é inapropriado.
Artrite idiopática juvenil poliarticular em pacientes pediátricos
AMGEVITA, em combinação com metotrexato, é indicado para reduzir os sinais e sintomas da artrite idiopática juvenil poliarticular ativa moderada a grave em pacientes pediátricos acima de 2 anos de idade que apresentaram resposta inadequada a pelo menos um DMARD.
AMGEVITA pode ser utilizado em monoterapia naqueles indivíduos intolerantes ao metotrexato ou quando o uso concomitante com metotrexato é inapropriado.
Artrite relacionada à entesite em pacientes pediátricos
AMGEVITA é destinado ao tratamento de artrite relacionada à entesite em pacientes acima de 6 anos que apresentaram uma resposta inadequada ou que são intolerantes à terapia convencional.
Doença de Crohn em pacientes pediátricos
AMGEVITA é destinado para reduzir sinais e sintomas e induzir e manter a remissão clínica em pacientes pediátricos a partirde 6 anos, com doença de Crohn ativa de intensidade moderada a grave, que apresentaram resposta inadequada à terapia convencional.
Uveíte pediátrica
AMGEVITA é destinado ao tratamento de uveíte não infecciosa, anterior, crônica em pacientes pediátricos com 2 anos de idade ou mais, que apresentaram uma resposta inadequada ou que são intolerantes à terapia convencional, ou quando a terapia convencional é inapropriada.

2. RESULTADOS DE EFICÁCIA
AMGEVITA é um medicamento biológico desenvolvido pela via de comparabilidade. O seu programa de desenvolvimento clínico foi projetado para demonstrar comparabilidade entre AMGEVITA e o produto comparador Humira® (adalimumabe)*. AMGEVITA é aprovado como um biossimilar de Humira.
* Medicamento biológico comparador (produto comparador): Humira (adalimumabe), registrado por Abbvie Farmacêutica Ltda.
Artrite reumatoide em pacientes adultos
Dados de eficácia de AMGEVITA
Estudo comparativo de Artrite Reumatoide (AR) entre AMGEVITA e Humira (AR ABP-Estudo 1)
- A eficácia e a segurança de AMGEVITA em comparação com Humira foram avaliadas em um estudo duplo-cego, randomizado e controlado por medicamento em pacientes ≥ 18 anos de idade com artrite reumatoide (AR) ativa diagnosticada de acordo com os critérios do American College of Rheumatology (ACR)/European League Against Rheumatism (EULAR) de 2010. Os pacientes tinham AR há pelo menos 3 meses e pelo menos 6 articulações dolorosas e inchadas e VHS ou PCR elevada ao ingressar no estudo. Os pacientes tinham fator reumatoide ou positividade para peptídeos citrulinados anticíclicos. O estudo avaliou 526 pacientes que apresentaram uma resposta inadequada ao metotrexato (MTX) nas doses de 7,5 a 25 mg. Os pacientes receberam 40 mg de AMGEVITA ou Humira por via subcutânea a cada duas semanas por até 22 semanas.
Resposta Clínica - A Tabela 1 apresenta a porcentagem de indivíduos tratados com AMGEVITA que alcançaram ACR 20 na semana 24 no AR ABP-Estudo 1. A razão de risco (RR) do parâmetro final primário ACR 20 ficou dentro da margem de equivalência pré-especificada e demonstrou equivalência clínica entre AMGEVITA e Humira.

Na semana 24, 74,6% (194/260) dos indivíduos no grupo de AMGEVITA e 72,4% (189/261) dos indivíduos no grupo de Humira atingiram os critérios de resposta ACR 20. A RR de ACR 20 para AMGEVITA versus Humira foi 1,039, com o intervalo de confiança (IC) bilateral de 90% de (0,954, 1,133). O IC de 90% ficou dentro da margem de equivalência pré-definida. A diferença de risco (DR) de ACR 20 para AMGEVITA versus Humira foi 2,604%, com o intervalo de confiança (IC) bilateral de 90% de (-3,728%, 8,936%). A equivalência clínica entre AMGEVITA e Humira foi demonstrada.
A Tabela 2 apresenta os resultados desses componentes dos critérios de resposta ACR para o estudo AR ABP-Estudo 1. As taxas de resposta ACR e melhora em todos os componentes da resposta ACR demonstraram uma ausência de diferenças clinicamente significativas entre os dois grupos na semana 24.

A Figura 1 mostra o curso de tempo de resposta ACR 20.

Dados de Eficácia de Humira
Artrite reumatóide
Humira foi avaliado em mais de 3.000 pacientes com artrite reumatoide (AR) em estudos clínicos. Alguns pacientes foram tratados por até 120 meses. A eficácia e a segurança de Humira foram avaliados em cinco estudos clínicos controlados, duplo-cegos e randomizados.1-5
O estudo I (ARMADA)1 avaliou 271 pacientes com artrite reumatoide moderada a grave, com mais de 18 anos de idade, que falharam ao tratamento com pelo menos uma droga modificadora da doença (DMARDs), com resposta insuficiente ao metotrexato em doses constantes de 12,5 a 25 mg/semana (ou 10 mg caso o paciente fosse intolerante ao metotrexato). Os pacientes apresentavam articulações edemaciadas ≥ 6 e articulações doloridas ≥ 9 e com AR diagnosticada de acordo com o critério ACR. Os pacientes receberam placebo ou 20, 40 ou 80 mg de Humira a cada 2 semanas, por 24 semanas, por via subcutânea (SC).
O estudo II (DE011)2 avaliou 544 pacientes com artrite reumatoide moderada a grave, com mais de 18 anos de idade, que falharam ao tratamento com pelo menos um DMARD (metotrexato, sulfassalazina, hidroxicloroquina, ouro oral ou injetável, d-penicilamina, azatioprina). Os pacientes apresentaram articulações edemaciadas ≥ 10 e articulações doloridas ≥ 12 e também diagnosticados de acordo com o critério ACR. Os pacientes foram divididos em 5 grupos: placebo semanal, Humira 20 mg + placebo semanal, Humira 40 mg + placebo semanal, Humira 20 mg + placebo a cada 2 semanas, Humira 40 mg + placebo a cada 2 semanas. Todos os pacientes receberam os tratamentos por via subcutânea (SC). A duração do estudo foi de 26 semanas.
O estudo III (DE019)3 avaliou 619 pacientes com artrite reumatoide moderada a grave, com mais de 18 anos de idade, com resposta insuficiente ao metotrexato em doses constantes semanais de 12,5 a 25 mg/semana (ou 10 mg caso o paciente fosse intolerante ao metotrexato). Diferente do estudo I, os pacientes com AR do estudo III não apresentavam falhas ao tratamento com pelo menos um DMARD. Os pacientes foram divididos em grupos: injeções de placebo semanalmente, injeções de Humira 20 mg semanalmente e injeções de Humira 40 mg a cada duas semanas + placebo nas semanas alternadas. Todos os pacientes receberam os tratamentos por via SC. A duração do estudo foi de 52 semanas. Após este período, os pacientes puderam entrar em um período de extensão aberto no qual se avaliou o uso de Humira 40 mg/metotrexato a cada 2 semanas, por via SC, por até 10 anos.6
O estudo IV (STAR)4 avaliou 636 pacientes com artrite reumatoide moderada a grave, com mais de 18 anos de idade. A população do estudo incluiu pacientes que nunca haviam usado DMARDs ou que estavam em tratamento com DMARDs estável por no mínimo 28 dias. Estes tratamentos incluíram leflunomida, hidroxicloroquina, sulfassalazina e/ou sais de ouro. Os pacientes foram randomizados para receberem Humira 40 mg ou placebo, por via SC, a cada 2 semanas, por 24 semanas.
O estudo V (PREMIER)5 avaliou 799 pacientes com artrite reumatoide de início recente (duração média dos sintomas de menos de 9 meses), moderada a grave, que nunca haviam usado metotrexato. O estudo avaliou a eficácia, a segurança e a progressão radiológica da destruição articular de Humira 40 mg + metotrexato a cada 2 semanas, Humira 40 mg a cada 2 semanas e monoterapia com metotrexato, por 104 semanas. Todos os tratamentos foram por via SC.
As medidas de desfechos primárias dos estudos I, II e III e a medida de desfecho secundária do estudo IV foram a porcentagem de pacientes que atingiu respostas ACR 20 nas semanas 24 ou 26 (diminuição de 20% dos critérios do American College of Rheumatology). A medida de desfecho primária do estudo V foi a porcentagem de pacientes que atingiu respostas ACR 50 (diminuição de 50% nos critérios do American College of Rheumatology) na semana 52. Os estudos III e V também tiveram a inibição da progressão da doença (medida por exames de raios-X) como medida de desfecho co-primária na semana 52. O estudo III também avaliou mudanças em escores de qualidade de vida como medida de desfecho co-primária.
Os principais resultados de eficácia destes estudos são apresentados a seguir.
Respostas ACR

No estudo IV, a resposta ACR 20 dos pacientes tratados com Humira foi significativamente melhor do que os pacientes tratados com placebo (p < 0,001).4
Nos estudos I-IV todos os componentes individuais dos critérios de resposta ACR (número de articulações dolorosas, número de articulações edemaciadas, avaliações da atividade da doença e da dor pelo médico, avaliações da atividade da doença e da dor pelo paciente, escores do índice de incapacidade [HAQ - Health Assessment Questionnaire] e valores de PCR [proteína C-reativa] em mg/dL) melhoraram em 241,3,4 ou 26 semanas2, quando comparados ao placebo. No estudo III, estas melhoras foram mantidas ao longo de 52 semanas.3
Além disto, as taxas de respostas ACR foram mantidas na maioria dos pacientes seguidos na fase de extensão aberta do estudo III.114/207 pacientes continuaram com Humira 40 mg SC a cada 2 semanas por 60 meses. Destes, 65%, 58% e 35% apresentaram respostas ACR 20/50/70, respectivamente, no mês 60.6
Nos estudos I-V, os pacientes tratados com Humira atingiram melhores respostas ACR 20 e 50, quando comparados ao placebo, de forma estatisticamente significante, após 1 ou 2 semanas após o início do tratamento.1-5
No estudo V, o tratamento combinado de Humira com metotrexato, em pacientes com artrite reumatoide inicial, levou a respostas ACR maiores e mais rápidas do que as monoterapias com Humira ou metotrexato, na semana 52, mantidas na semana 104 (Tabela 4).

Na semana 52, 42,9% dos pacientes que receberam o tratamento combinado de Humira com metotrexato atingiram remissão clínica (DAS 28 < 2,6), comparados a 20,6% dos pacientes que receberam monoterapia com metotrexato e 23,4% dos que receberam monoterapia com Humira. O tratamento combinado de Humira com metotrexato foi superior às monoterapias com metotrexato e Humira (ambos p < 0,001) em atingir baixa atividade da doença em pacientes com artrite reumatoide recentemente diagnosticada de moderada a grave intensidade. A resposta entre ambas monoterapias foi semelhante (p = 0,447).5
Progressão radiográfica - No estudo III, no qual os pacientes tratados com Humira apresentaram uma duração média da artrite reumatoide de aproximadamente 11 anos, o dano articular estrutural foi avaliado radiograficamente e expresso por meio da mudança no Escore Total de Sharp modificado e seus componentes (escores de erosão e de estreitamento dos espaços articulares). Os pacientes tratados com Humira e metotrexato apresentaram significativamente menos progressão radiográfica do que os pacientes tratados apenas com metotrexato, após 6 e 12 meses (Tabela 5).3

Dados da fase de extensão indicaram que a redução na taxa de progressão do dano estrutural é mantido por 60 meses em um subgrupo de pacientes. 113/207 pacientes originalmente tratados com Humira 40 mg SC a cada 2 semanas foram avaliados após 5 anos. Destes, 66 pacientes não mostraram nenhuma progressão do dano estrutural, definida por mudança no escore total de Sharp de zero ou menos.6
No estudo V, o dano estrutural foi avaliado radiograficamente e também expresso por meio das mudanças no Escore Total de Sharp modificado e seus componentes, de acordo com a Tabela 6.

Após 52 e 104 semanas de tratamento, a porcentagem de pacientes sem progressão (mudança no escore total de Sharp modificado < 0,5) foi significativamente maior no grupo de tratamento combinado de Humira mais metotrexato (63,8% e 61,2%, respectivamente), quando comparado ao grupo que recebeu monoterapia com Humira (50,7%, p < 0,002, e 44,5%, p < 0,001, respectivamente) e monoterapia com metotrexato (37,4% e 33,5%, respectivamente, ambos p < 0,001).5
Qualidade de vida e função física - Qualidade de vida e função física foram avaliados pelo HAQ (Health Assessment Questionnaire), em todos os estudos de Humira, com placebo como comparador, sendo uma medida de desfecho co-primária no estudo III. Todos os grupos tratados com Humira apresentaram melhora significativamente maior que o placebo no índice de incapacidade do HAQ, após 6 meses, o mesmo acontecendo no estudo III após 52 semanas. Nestes estudos, uma melhora do componente físico do Short Form 36 (SF-36) também suporta estes achados. No estudo V, a melhora do índice de incapacidade do HAQ e do componente físico do SF-36 foi significativamente maior para o grupo tratado com Humira e metotrexato, quando comparada aos grupos tratados com monoterapia com Humira e metotrexato (p < 0,001).1-4
Uma diminuição significativa da fadiga, medida pelo escore FACIT (Functional Assessment of Chronic Illness Therapy) foi observada nos estudos I, III e IV, onde tal instrumento foi usado.1,3,5 No estudo III, a melhora da função física foi mantida por até 60 meses da fase de extensão aberta. A qualidade de vida foi medida até a semana 156 (36 meses) e a melhora foi mantida por este período.3
Artrite psoriásica em pacientes adultos
Humira 40 mg SC a cada duas semanas, foi avaliado em pacientes com artrite psoriásica moderada a grave em 2 estudos controlados por placebo. No estudo I, foram observados 313 pacientes adultos com resposta inadequada a anti-inflamatórios não esteroidais (AINEs), por 24 semanas.7 No estudo II, 100 pacientes com resposta inadequada a DMARDs foram observados por 12 semanas.8 Os pacientes de ambos os estudos puderam entrar em uma fase aberta, onde todos receberam Humira 40 mg SC a cada 2 semanas, por até 144 semanas.9,10
As respostas ACR no estudo I foram semelhantes com e sem tratamento concomitante com metotrexato (aproximadamente 50% dos pacientes foram tratados concomitantemente com metotrexato) (Tabela 7).

As respostas ACR foram mantidas na fase de extensão aberta por até 136 semanas.9
As mudanças radiográficas também foram avaliadas nos estudos de artrite psoriásica. Radiografias de mãos, punhos e pés foram obtidas no início do estudo e nas semanas 24 (fase duplo-cega do estudo I)7 e semana 48 (fase aberta).10 Um escore de Sharp modificado (mTSS), que incluiu as articulações interfalangianas distais, foi usado para medir a progressão radiográfica. Humira reduziu a taxa de progressão do dano articular periférico, quando comparado com o placebo (mudança média do mTSS = 0,8 ± 2,42 no grupo placebo na semana 24 comparado a 0,1 ± 1,95 no grupo tratado com Humira na semana 48, p < 0,001).9,10 Nos pacientes tratados com Humira sem progressão radiográfica do início do estudo até a semana 48 (n = 102), 84% continuaram a demonstrar ausência de progressão por até 144 semanas de tratamento.9,10
Os pacientes tratados com Humira demonstraram melhora significativa na função física, avaliada pelo HAQ e pelo SF-36 comparados aos pacientes que receberam placebo, na semana 24.7 A melhora da função física continuou durante a fase de extensão aberta até a semana 136.9
Espondilite anquilosante em pacientes adultos
Humira 40 mg SC a cada duas semanas foi avaliado em dois estudos duplo-cegos, placebo-controlados, de 24 semanas, em pacientes com espondilite anquilosante ativa, sem resposta adequada ao tratamento convencional.11-13 O período cego foi seguido de uma fase de extensão aberta, na qual os pacientes receberam apenas Humira 40 mg SC a cada 2 semanas.14
No estudo I, com 315 pacientes, os resultados apresentaram melhora significativa dos sinais e sintomas da espondilite anquilosante nos pacientes tratados com Humira, quando comparados aos tratados com placebo. Uma resposta significativa foi observada na semana 2, e mantida ao longo de 24 semanas (Tabela 8).11

A melhora nas respostas ASAS e nos escores BASDAI foi mantida por até 2 anos.14
Pacientes tratados com Humira apresentaram melhora significativamente maior nos escores de dor, fadiga e rigidez,15 e nos escores de qualidade de vida (SF-36 e ASQoL - Questionário de Qualidade de Vida para Espondilite Anquilosante), quando comparados aos que receberam placebo, na semana 24.16
Tendências semelhantes (nem todas estatisticamente significantes) foram observadas no estudo II, realizado com 82 pacientes adultos com espondilite anquilosante ativa.12,13
Espondilite axial não radiográfica (espondiloartrite axial sem evidência radiográfica de EA) em pacientes adultos
A segurança e eficácia de Humira foram avaliadas em dois estudos randomizados, duplo cego controlados por placebo, em pacientes com espondiloartrite axial não-radiográfica (nr-axSpA). O estudo nr-axSpA I avaliou pacientes com nr-axSpA ativa. O estudo nr-axSpA II foi um estudo de descontinuação de tratamento em pacientes com nr-axSpA ativa que atingiram a remissão durante o tratamento aberto com Humira.
Estudo nr-axSpA I
No estudo nr-axSpA I, Humira 40 mg a cada duas semanas foi avaliado em 185 pacientes por 12 semanas, em um estudo randomizado, duplo-cego, placebo-controlado, em pacientes com nr-axSpA ativa (média basal da atividade da doença [BASDAI - Bath Ankylosing Spondylitis Disease Activity Index] de 6,4 para pacientes tratados com Humira e 6,5 para pacientes recebendo placebo) que responderam inadequadamente ou que são intolerantes a ≥ 1 AINEs, ou que apresentam contraindicação a AINEs. Os pacientes incluídos foram classificados de acordo com o critério ASAS de EpA axial, excluindo pacientes que satisfizeram os critérios de New York modificados para espondilite anquilosante e aqueles com psoríase ou artrite psoriásica. O objetivo primário foi a porcentagem de pacientes que alcançaram o critério de resposta ASAS 40 na semana 12.17
Trinta e três (18%) dos pacientes foram tratados concomitantemente com drogas modificadoras do curso da doença (DMARDs), e 146 (79%) dos pacientes, com AINEs no baseline. O período duplo-cego foi seguido de uma fase de extensão aberta, no qual, os pacientes receberam Humira 40 mg, por via subcutânea, a cada duas semanas por 144 semanas adicionais. A semana 12 mostrou uma melhora estatisticamente significante dos sinais e sintomas da nr-axSpA ativa em pacientes tratados com Humira comparado com placebo tanto na população geral quanto em pacientes com ressonância nuclear magnética (RNM) positivo ou PCR elevada (Tabelas 9 e 10). Variáveis que demonstram uma redução dos sinais e sintomas da nr-axSpA foram sustentadas ou continuaram a melhorar na semana 24 e na semana 68 e foram mantidas até a semana 156 (Tabelas 9 e 10).17-19




Inibição da inflamação
Foram mantidas melhoras significantes dos sinais da inflamação como medidos pelo hs-CRP e MRI para as articulações sacroilíacas e a coluna em pacientes tratados com Humira durante a semana 156 e semana 104, respectivamente. SPARCC MRI para articulações sacroilíacas estavam disponíveis para 131 pacientes e SPARCCC MRI para coluna estavam disponíveis para 130 pacientes com uma alteração média do baseline de -3,8 e -1,4, respectivamente, na semana 104.
Qualidade de vida e capacidade física
A qualidade de vida relacionada com a saúde e a capacidade física foram avaliadas através dos questionários HAQ-S e SF-36. Humira mostrou uma melhora estatisticamente significativa na nota total do HAQ-S e na pontuação do componente físico do SF-36 (PCS) do início até a semana 12 comparados com o placebo. Os resultados para SF-36 (PCS) e HAQ-S foram sustentados durante as semanas 52, 68 e 156, respectivamente.17-19
Estudo nr-axSpA II
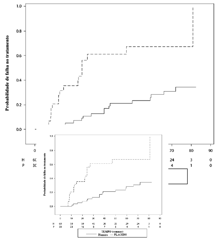
673 pacientes com nr-axSpA ativa (atividade média base da doença [BASDAI] foi de 7,0) os quais tiveram uma resposta inadequada a ≥2 AINEs ou uma intolerância ou contraindicação para os AINEs incluídos no período de estudo aberto nr-axSpA II durante o qual receberam Humira 40 mg a cada duas semanas durante 28 semanas. Esses pacientes também apresentaram evidência objetiva de inflamação nas articulações sacroilíacas ou coluna vertebral na ressonância magnética ou elevação da PCR (proteina C reativa). Os pacientes que alcançaram remissão sustentada durante pelo menos 12 semanas (N = 305) (ASDAS < 1,3 nas semanas 16, 20, 24 e 28) durante o período aberto foram então aleatorizados para receberem tratamento continuado com Humira 40 mg a cada duas semanas (N = 152) ou placebo (N = 153) por um periodo adicional de 40 semanas em um periodo duplo-cego, controlado por placebo (duração total do estudo de 68 semanas). Pacientes que apresentaram flare da doença durante o período duplo-cego foram autorizados a terapia de resgate Humira 40 mg por pelo menos 12 semanas.
O desfecho primário de eficácia foi a proporção de pacientes sem agravamento na Semana 68 do estudo. O agravamento foi definido como ASDAS ≥2,1 em duas visitas consecutivas com quatro semanas de intervalo. Uma proporcao maior de pacientes em uso de Humira não apresentou agravamento da doença durante o período duplo-cego, quando comparados com os que receberam placebo (70,4% vs. 47,1%, p < 0,001) (Figura 2).

Entre os 68 pacientes que apresentaram flare da doença no grupo alocado para descontinuação do tratamento, 65 completaram 12 semanas de terapia de resgate com Humira, dos quais 37 (56,9%) haviam recuperado a remissão (ASDAS < 1,3) após 12 semanas de reinício do tratamento aberto.
Na Semana 68, os pacientes que receberam tratamento contínuo com Humira apresentaram melhora estatisticamente significativa maior dos sinais e sintomas de nr-axSpA ativa em comparação com os pacientes alocados para descontinuação do tratamento durante o período duplo-cego do estudo (Tabela 13).

Doença de crohn em pacientes adultos
A segurança e a eficácia de Humira foram avaliadas em mais de 1.400 pacientes com doença de Crohn (DC) ativa, moderada a grave (Crohn's Disease Activity Index [CDAI] ≥ 220 e ≤ 450) em estudos duplo-cegos, randomizados, controlados por placebo. Nestes estudos foi permitido o uso concomitante de doses estáveis de aminossalicilatos, corticosteroides e/ou agentes imunomoduladores.
A indução de remissão clínica (definida como CDAI < 150) foi avaliada em dois estudos, estudo I20 de DC (M02-403) e estudo II21 de DC (M04-691). No estudo I20 de DC, 299 pacientes virgens de antagonistas de TNF foram randomizados para um de quatro grupos de tratamento: placebo nas semanas 0 e 2, 160 mg de Humira na semana 0 e 80 mg na semana 2, 80 mg na semana 0 e 40 mg na semana 2, e 40 mg na semana 0 e 20 mg na semana 2. No estudo II21 de DC, 325 pacientes que tinham perdido resposta ou eram intolerantes ao infliximabe foram randomizados para receber ou 160 mg Humira na semana 0 e 80 mg na semana 2 ou placebo nas semanas 0 e 2. Em ambos os estudos os resultados clínicos foram avaliados na semana 4.
Uma maior porcentagem de pacientes tratados com 160/80 mg de Humira alcançou a indução de remissão clínica, em comparação com o placebo na semana 4, independentemente dos pacientes serem virgens de tratamento com bloqueadores de TNF (estudo I20 de DC), ou terem perdido resposta ou terem sido intolerantes ao infliximabe (estudo II21 de DC) (Tabela 14).

A manutenção da remissão clinica foi avaliada no estudo III22 de DC (M02-404). No estudo III22 de DC, 854 pacientes receberam de forma aberta 80 mg de Humira na semana 0 e 40 mg na semana 2. Na semana 4 os pacientes foram randomizados para receber 40 mg em semanas alternadas, 40 mg todas as semanas, ou placebo com uma duração total do estudo de 56 semanas. Pacientes com resposta clínica (CR-70 = diminuição do CDAI ≥ 70) na semana 4 foram estratificados e analisados separadamente daqueles sem resposta clínica na semana 4.
No estudo III22 de DC (CHARM), na semana 4, 58% (499/854) dos pacientes apresentavam resposta clínica e foram avaliados na análise primária. Os índices de manutenção da remissão e de resposta clínica estão representados na Tabela 15. Os índices de remissão clinica permaneceram relativamente constantes independentemente de uma exposição prévia a um antagonista de TNF.

Nos estudos I20 e II21 de DC, foi observada melhora estatisticamente significante na pontuação total do questionário específico para a doença inflamatória intestinal (IBDQ) alcançada na semana 4 nos pacientes randomizados para Humira 80/40 mg e 160/80 mg comparada a placebo. A melhora também foi vista nas semanas 26 e 56 no estudo III dwe DC entre os grupos de tratamento com Humira comparados com o grupo placebo. No estudo III, houve também uma diminuição estatisticamente significante de hospitalização e cirurgias relacionadas à doença quando comparada com o placebo na semana 56.23
No Estudo I20, 117/276 pacientes com DC e 272/777 pacientes do estudo II21 e III22 foram acompanhados por pelo menos 3 anos em terapia aberta com Humira. Respectivamente 88 (75,2%) e 189 (69,5%) pacientes, continuaram com remissão clínica. A resposta clínica foi mantida em 107 (91,5%) e 248 (91,2%) pacientes, respectivamente. Os 117/854 pacientes (a partir de estudo DC III) apresentaram fístulas drenadas tanto na seleção como no baseline. Para a avaliação da cicatrização das fístulas, os dados de ambas as doses de Humira utilizados no estudo foram agrupados. A proporção de pacientes com cicatrização das fístulas na semana 26 foi estatística e significativamente maior em pacientes tratados com Humira (21/70 [30,0%]) em comparação com placebo (6/47 [12,8%]). A cicatrização completa das fístulas foi mantida até a semana 56 em 23/70 (32,9%) pacientes no grupo com Humira e 6/47 (12,8%) no grupo placebo. Um estudo endoscópico (M05-769) que envolveu 135 pacientes, indicou um efeito de Humira na cicatrização da mucosa. 27,4% dos pacientes tratados com Humira tinham cicatrização da mucosa na semana 12 comparados com 13,1% dos pacientes-placebo (p = 0,056), e 24,2% dos pacientes tratados com Humira na semana 52 contra 0% dos pacientes-placebo (p < 0,001).24
Colite ulcerativa ou retocolite ulcerativa em pacientes adultos
A segurança e eficácia de múltiplas doses de Humira foi testada em pacientes adultos com colite ulcerativa ou retocolite ulcerativa ativa moderada a grave (escore Mayo de 6 a 12 e com subtotal de endoscopia de 2 a 3 pontos) em dois estudos randomizados, duplo-cego, placebo-controlados. Os pacientes tinham de ter um diagnóstico de colite ulcerativa por mais de 90 dias, confirmado por endoscopia. Eles tinham de ter a doença ativa apesar do tratamento com pelo menos um dos seguintes corticosteroides orais ou imunossupressores: prednisona, azatioprina ou 6-mercaptopurina. Os pacientes foram excluídos da participação nos estudos se eles tinham uma história de colectomia subtotal com ileostomia ou proctocolectomia com reservatório ileal e anastomose ileoanal, bolsa de Koch ou ileostomia para retocolite ulcerativa ou se estava planejando uma cirurgia intestinal, ou se eles tinham um diagnóstico vigente de colite fulminante e/ou megacólon tóxico, colite indeterminada, ou doença de Crohn, se sua doença estava limitada ao reto (proctite ulcerativa), ou se eles estavam recebendo nutrição parenteral. Pacientes com Clostridium difficile positivo no exame de fezes, infecções que requerem tratamento intravenoso, que tinha um histórico de malignidade tratada com sucesso diferente de carcinoma cutâneo de células escamosas não metastáticas ou basocelular e/ou carcinoma localizado no colo do útero, ou uma história de listeria, histoplasmose, infecção crônica ou ativa da hepatite B, vírus da imunodeficiência humana, síndrome da imunodeficiência, doenças desmielinizantes do sistema nervoso central, ou tuberculose não tratada (TB) também foram excluídos, bem como os pacientes cuja endoscopia mostrou evidencias de displasia ou malignidade. No estudo UC-I25, 390 pacientes que nunca foram tratados com antagonistas de TNF foram randomizados para receber: placebo nas semanas 0 e 2 ou 160 mg de Humira na semana 0 seguido por 80 mg na semana 2, ou 80 mg de Humira na semana 0 seguindo por 40 mg na semana 2. Depois da semana 2, pacientes que receberam Humira nas semanas anteriores, receberam 40 mg de Humira a cada 14 dias. A remissão clínica (definida como escore Mayo ≤ 2 sem subtotal > 1) foi avaliada na semana 8.
No estudo UC-II26, 248 pacientes receberam 160 mg de Humira na semana 0, 80 mg na semana 2 e 40 mg a cada 14 dias nas semanas seguintes, e, 246 pacientes receberam placebo. Os resultados clínicos foram avaliados para indução de remissão na semana 8 e para manutenção da remissão na semana 52.
Indivíduos induzidos com 160/80 mg de Humira atingiram a remissão clínica versus o placebo na semana 8 em porcentagens estatística e significativamente maiores no estudo UC-I (18% versus 9%, respectivamente, p = 0,031) e no estudo UC-II (17% versus 9%, respectivamente, p = 0,019). No estudo UC-II, entre os tratados com Humira que estavam em remissão na semana 8, 21/41 (51%) estavam em remissão na semana 52. Os resultados do estudo UC-II são apresentados na Tabela 16 tanto para população total quanto para pacientes que tinham respondido na semana 8 de tratamento por escore total Mayo.

Aproximadamente 40% dos pacientes do estudo UC-II apresentaram falha da terapia primeiro com o tratamento com anti-TNF infliximabe. A eficácia de Humira nestes pacientes foi reduzida, quando comparada com os pacientes que não tiveram um tratamento prévio com anti-TNF. Entre estes pacientes que haviam falhado no tratamento prévio com anti-TNF, a remissão foi alcançada na semana 52 por 3% no grupo placebo e 10% no grupo com Humira.
Os pacientes dos estudos UC-I e UC-II tiveram a opção de continuar um estudo aberto de extensão de longo prazo (UC-III). Após três anos de tratamento com Humira, 74% (268/360) continuaram em remissão clínica por escore parcial Mayo.
Qualidade de vida
No estudo UC-II, uma melhora maior na nota total do questionário de doença específica para doença inflamatória intestinal (IBDQ) foi alcançada na semana 52 em pacientes randomizados para 160/80 mg de Humira comparado com placebo (p = 0,007).
Psoríase em placas em pacientes adultos
Dados de Eficácia de AMGEVITA
Estudo comparativo de Psoríase em Placas (Ps) entre AMGEVITA e Humira (Ps ABP-Estudo 1)
- A eficácia e a segurança de AMGEVITA foram avaliadas em um estudo duplo-cego, randomizado e controlado por medicamento em 350 pacientes ≥ 18 anos de idade com psoríase em placas (Ps) de moderada a severa que eram candidatos para terapia sistêmica ou fototerapia. Os pacientes apresentavam Ps em placas estável de moderada a severa há pelo menos 6 meses, uma área de superfície corporal (ASC) ≥ 10%, e Índice da Área e Gravidade da Psoríase (PASI) ≥ 12 ao ingressar no estudo. Os pacientes receberam AMGEVITA ou Humira a uma dose inicial de 80 mg administrados SC na semana 1/dia 1, seguido de 40 mg SC administrados a cada duas semanas, a partir de uma semana após a dose inicial. A melhora percentual no PASI a partir do baseline foi medida e comparada com Humira (Tabela 17) e ficou dentro da margem de equivalência pré-especificada para demonstrar equivalência entre AMGEVITA e Humira.

O endpoint primário foi a melhora percentual no PASI a partir do baseline até a semana 16. Na semana 16, a melhora percentual no PASI a partir do baseline foi 80,9 no grupo de AMGEVITA e 83,1 no grupo de Humira. A diferença média dos mínimos quadrados (LS) da melhora percentual no PASI a partir do baseline até a semana 16 entre AMGEVITA e Humira foi -2,18 com IC de 95% bilateral de (-7,39, 3,02). O IC de 95% ficou dentro da margem de equivalência pré-definida, demonstrando, portanto, equivalência clínica entre AMGEVITA e Humira.
Depois que os indivíduos com resposta PASI 50 (melhora de 50% ou melhor) foram novamente randomizados na semana 16 para continuar no estudo, foram observados resultados semelhantes na semana 50 (fim do estudo), onde a melhora percentual no PASI a partir do baseline foi semelhante entre os grupos de tratamento: AMGEVITA/AMGEVITA foi 87,16, Humira/Humira foi 88,11, e Humira/AMGEVITA foi 85,82.
A Figura 3 mostra a melhora percentual no PASI a partir do baseline ao longo da duração do estudo.

Dados de eficácia de Humira
A segurança e eficácia de Humira foram avaliadas em estudos duplo-cegos, randomizados, realizados em pacientes adultos com psoríase crônica em placas (envolvimento ≥ 10% BSA e Psoriasis Area and Severity Index (PASI) ≥ 12 ou ≥ 10) que eram candidatos a terapia sistêmica ou fototerapia. 73% dos pacientes envolvidos nos estudos de psoríase fase I e II receberam terapia sistêmica prévia ou fototerapia. A segurança e eficácia de Humira também foram avaliadas em estudos duplo-cegos, randomizados, realizado em pacientes adultos com psoríase crônica em placas moderada a grave com acometimento das mãos e/ou pés que eram candidatos a terapia sistêmica.27
O estudo I28 de psoríase (M03-656) avaliou 1.212 pacientes durante três períodos de tratamento. No período A, os pacientes receberam placebo ou Humira na dose inicial de 80 mg seguida por 40 mg em semanas alternadas começando na semana 1, após

a dose inicial. Após 16 semanas de terapia, os pacientes que alcançaram pelo menos uma resposta PASI 75 (melhora da pontuação PASI de pelo menos 75% em relação à avaliação inicial), entraram no período B e receberam de forma aberta 40 mg de Humira em semanas alternadas. Os pacientes que mantiveram resposta PASI ≥ 75 na semana 33 e que haviam sido originariamente randomizados para terapia ativa no período A, foram novamente randomizados no período C para receber 40 mg de Humira em semanas alternadas ou placebo por mais 19 semanas.
Considerando os três grupos de tratamento, a pontuação PASI média, na avaliação inicial, foi de 18,9 e a avaliação médica global (Physician's Global Assessment - PGA) inicial variou de "moderada" (53% dos indivíduos incluídos), a "grave" (41%) e a "muito grave" (6%).
O estudo II29 de psoríase (M04-716) comparou a eficácia e segurança de Humira com metotrexato (MTX) e placebo em 271 pacientes. Os pacientes receberam placebo, uma dose inicial de MTX de 7,5 mg e, posteriormente, a dose era aumentada até a semana 12, com a dose máxima de 25 mg ou uma dose inicial de 80 mg de Humira seguida por 40 mg em semanas alternadas (iniciando uma semana após a dose inicial) durante 16 semanas. Não existem dados disponíveis sobre a comparação de Humira e MTX durante 16 semanas de terapia. Os pacientes recebendo MTX que atingissem uma resposta PASI ≥ 50 na semana 8 e/ou 12 não recebiam futuros aumentos de dose. Considerando os três grupos de tratamento, a pontuação PASI média, na avaliação inicial, foi de 19,7 e a avaliação médica global (Physician's Global Assessment - PGA) inicial variou de "moderada" (48% dos indivíduos incluídos), a "grave" (46%) e a "muito grave"(6%).
Pacientes dos estudos de psoríase de fase II e III foram eleitos a participar de um estudo clínico de extensão aberto (M03-658), onde Humira foi administrado por pelo menos mais 108 semanas.
Nos estudos I28 e II29 de psoríase, o desfecho primário foi a proporção de pacientes que atingiram uma resposta PASI 75 na semana 16, em relação à avaliação inicial (ver Tabelas 18 e 19).


Um total de 233 de pacientes que atingiram a resposta PASI 75 na semana 16 e na semana 33 receberam continuamente Humira por 52 semanas no estudo I de psoríase e continuaram com a terapia em um estudo de extensão aberto. Após administração adicional por mais 108 semanas (no total de 160 semanas), 74,7% dos pacientes atingiram a resposta PASI 75 e 59,0% dos pacientes atingiram a avaliação médica global (Physician's Global Assessment - PGA) com resposta mínima ou nenhuma. Já no estudo II de psoríase, dos 94 pacientes, 58,1% atingiram a resposta PASI 75 e 46,2% atingiram a avaliação médica global (Physician's Global Assessment - PGA) com resposta mínima ou sem psoríase.
Um total de 347 pacientes estáveis e que responderam ao tratamento participaram de uma avaliação de retirada e retratamento em um estudo de extensão aberto. O tempo médio de recidiva (para PGA "moderado" ou pior) foi de aproximadamente 5 meses. Nenhum destes pacientes relatou efeito rebote durante o período de retirada. Um total de 76,5% (218/285) dos pacientes que iniciaram o período de retratamento obtiveram uma resposta da PGA "sem psoríase" ou "mínima", após 16 semanas de retratamento, independentemente de recaída durante a retirada (69,1% [123/178] e 88,8% [95/107] para pacientes que recaíram e que não recaíram durante o período de suspensão, respectivamente).
Em um estudo de extensão aberto, para pacientes que tiveram a frequência de dose aumentada de 40 mg a cada 14 dias para 40 mg semanal devido a uma resposta PASI abaixo de 50%, 26,4% (92/349) e 37,8% (132/349) dos pacientes atingiram uma resposta PASI 75 nas semanas 12 e 24, respectivamente.
Na semana 16 foram observadas melhoras estatisticamente significantes no Dermatology Life Quality Index (DLQI), em relação aos valores basais quando comparadas com placebo (estudos I30 e II31) e MTX (estudo II 31). No estudo I28 também foram evidenciadas melhoras no componente físico e mental da pontuação do SF-36 de forma estatisticamente significante, quando comparado ao placebo.
Em pacientes com psoríase em placas em monoterapia com adalimumabe a longo prazo que participaram de um estudo de retirada e de retratamento, a taxa de anticorpos de adalimumabe após o retratamento (2,3%) foi semelhante à taxa observada antes da retirada (1,9%).
O estudo III27 de psoríase (REACH) comparou a eficácia e segurança de Humira versus placebo em 72 pacientes com psoríase em placas crônica moderada grave e com psoríase nas mãos e/ou pés. Os pacientes receberam uma dose inicial de 80 mg de Humira seguido de 40 mg a cada duas semanas (começando uma semana após a dose inicial) ou placebo durante 16 semanas. Na semana 16, uma proporção estatisticamente significativa de pacientes que receberam Humira atingiram PGA de "claro" ou "quase claro" para as mãos e/ou pés em comparação com pacientes que receberam placebo (30,6% versus 4,3%, respectivamente [p = 0,014]).
O estudo IV na psoríase comparou a eficácia e segurança de Humira versus placebo em 217 pacientes adultos com psoríase ungueal moderada a grave. Os pacientes receberam uma dose inicial de 80 mg de Humira seguida de 40 mg em semanas alteradas (uma semana após a dose inicial) ou placebo durante 26 semanas seguidas de um tratamento em fase aberta com Humira durante mais 26 semanas.
Os pacientes do estudo tinham que ter psoríase em placas crônica de grau pelo menos moderado na escala PGA, comprometimento da unha de grau pelo menos moderado na Avaliação Medica Global da Psoríase Ungueal (PGA-F), um Índice de Gravidade da Psoríase Ungueal Modificado (mNAPSI) para a unha-alvo ≥ 8, e um envolvimento de BSA da pele de pelo menos 10% ou um envolvimento de BSA da pele de pelo menos 5% com uma pontuação mNAPSI total para todas as unhas ≥ 20.
As avaliações da psoríase ungueal incluíram o Índice de Gravidade da Psoríase Ungueal Modificada (mNAPSI) e a Avaliação Médica Global de Psoríase Ungueal (PGA-F). Uma proporção estatística e significativamente maior de pacientes no grupo Humira atingiram pelo menos 75% de melhora na mNAPSI (mNAPSI 75) e uma PGA-F de "claro" ou "mínimo" com pelo menos 2 pontos de melhora em relação ao basal na Semana 26 quando comparado com placebo. (veja a tabela 19 a seguir). A melhora percentual no NAPSI foi estatística e significativamente maior em pacientes com Humira quando comparados com placebo na semana 16 (44,2% vs. 7,8%) e na semana 26 (56,2% vs 11,5%).
Uma proporção estatística e significativamente maior de pacientes no grupo de Humira atingiram uma PGA-F de "claro" ou "mínimo" com pelo menos dois pontos de melhora a partir do baseline na semana 26 quando comparado com placebo. Neste estudo, Humira demonstrou um tratamento benéfico para pacientes com psoríase ungueal com diferentes graus de envolvimento da pele (BSA ≥ 10% E BSA < 10% e ≥ 5%) e uma melhora estatística e significativa em psoríase no couro cabeludo quando comparado com placebo.

Os pacientes tratados com Humira mostraram uma melhora no Índice de Qualidade de Vida em Dermatologia (DLQI), na semana 26, a partir da linha de base, quando comparados com o placebo. Entre aqueles pacientes que continuaram recebendo o tratamento com Humira até a semana 52, as respostas mNAPSl 75 e PGA-F claro/ mínimo e > 2 pontos de melhora em relação ao basal foram mantidas.
Entre aqueles pacientes que continuaram recebendo o tratamento com HUMIRA (adalimumabe) ate a semana 52, 65,0 % atingiram resposta em mNAPSI 75 e 61,3% atingiram resposta em PGA-F claro/mínimo e ≥ 2 pontos de melhora em relação ao basal.
Hidradenite supurativa em pacientes adultos
A segurança e eficácia de Humira foi avaliada através de estudos placebo-controlado, duplo-cego e um estudo aberto de extensão em pacientes adultos com hidradenite supurativa (HS) moderada a grave que foram intolerantes, contraindicados ou com uma resposta inadequada à terapia antibiótica sistêmica. Os pacientes nos estudos HS-I e HS-II tiveram estágio de Hurley II ou III com no mínimo três abcessos ou nódulos inflamatórios.
O estudo HS-I (M11-313) avaliou 307 pacientes em dois períodos de tratamento. No período A, os pacientes receberam placebo ou Humira em uma dose inicial de 160 mg na semana 0, 80 mg na semana 2 e 40 mg a cada semana a partir da semana 4 até a semana 11. O uso concomitante de antibióticos não foi permitido durante o estudo. Após 12 semanas de tratamento, pacientes que receberam Humira no período A foram randomizados novamente no período B para um dos três grupos de tratamento (40 mg de Humira a cada semana, 40 mg de Humira em semanas alternadas ou placebo da semana 12 à semana 35). Os pacientes que foram randomizados para o placebo no período A foram designados a receber 40 mg de Humira a cada semana no período B.
O estudo HS-II (M11-810) avaliou 326 pacientes em dois períodos de tratamento. No período A, pacientes receberam placebo ou Humira em uma dose inicial de 160 mg na semana 0, 80 mg na semana 2 e 40 mg a cada semana a partir da semana 4 até a semana 11. 19,3% dos pacientes continuaram a terapia oral de base com antibióticos durante o estudo. Após 12 semanas de tratamento, pacientes que receberam Humira no período A foram randomizados novamente no período B para um dos três grupos de tratamento (40 mg de Humira a cada semana, 40 mg de Humira em semanas alternadas ou placebo da semana 12 à semana 35). Os pacientes que foram randomizados para o placebo no período A foram designados a receber placebo no período B.
Os pacientes que participaram dos estudos HS-I e HS-II foram elegíveis para se inscrever em um estudo aberto de extensão no qual 40 mg de Humira foi administrado a cada semana. A exposição média em toda a população de adalimumabe foi de 762 dias. Ao longo dos três estudos, os pacientes realizaram diariamente uma lavagem com antisséptico tópico.
Resposta clínica
A resposta clínica das lesões inflamatórias foi avaliada utilizando a resposta clínica de hidradenite supurativa (HiSCR: pelo menos uma redução de 50% na contagem total de abcessos e nódulos inflamatórios com nenhum aumento na contagem de abcessos e nenhum aumento na contagem de fístulas com relação ao baseline).
A redução da dor na pele relacionada com a HS foi avaliada em pacientes que entraram no estudo com uma pontuação inicial de 3 ou mais utilizando uma Escala de Classificação Numérica de 11 pontos.
Na semana 12, um proporção significantemente maior de pacientes tratados com Humira versus o placebo alcançaram a HiSCR. Na semana 12, uma proporção significantemente maior de pacientes no estudo HS-II experimentaram uma diminuição clinicamente relevante da dor na pele relacionada com a HS (Tabela 21). Os pacientes tratados com Humira apresentaram redução significativa no risco de agravamento da doença durante as primeiras 12 semanas de tratamento.

Entre os pacientes que foram randomizados para Humira com dose semanal contínua, a taxa de HiSCR global da semana 12 foi mantida até a semana 96.
O tratamento à longo prazo com adalimumabe 40 mg semanalmente por 96 semanas identificou novos achados de segurança.
Melhorias mais significativas na semana 12 do baseline comparado com o placebo foram demonstrados em: qualidade de vida relacionado à saúde específica da pele, medida pelo Índice de Qualidade de Vida em Dermatologia (DLQI; estudos HS-I e HS-II); a satisfação global do paciente com o tratamento medida pelo Questionário de Satisfação do Tratamento com o Medicamento (TSQM; estudos HS-I e HS-II) e a saúde física, conforme medida pelo resumo do componente físico SF-36 (estudo HS-I).
Uveíte em pacientes adultos
A segurança e eficácia de Humira foram avaliadas em pacientes adultos com uveíte não infecciosa intermediária, posterior e pan-uveite (também conhecida como uveíte não infecciosa que afeta o segmento posterior), excluindo os pacientes com uveíte anterior isolada, em dois estudos randomizados, duplo-cegos, placebo-controlados (Estudo UV I (M10-877) e Estudo UV II (M10-880)). Os pacientes receberam placebo ou Humira em uma dose inicial de 80 mg seguidos de 40 mg a cada duas semanas iniciando-se na semana seguinte a dose inicial. Foram permitidas doses concomitantes estáveis de imunossupressores não biológicos. O desfecho primário de eficácia em ambos os estudos foi o tempo para a falha do tratamento. Seguindo o controle inicial da doença, um prolongamento no tempo para a falha do tratamento resultará na redução do risco de reaparecimento da inflamação, inflamação e perda de visão.
A falha do tratamento foi definida por um resultado multi-componente baseado em novas lesões ativas inflamatórias (coreorretinite), grau celular da câmara anterior (AC), grau de turvação vítrea (VH) e melhor correção da acuidade visual (BCVA).
O estudo UV I avaliou 217 pacientes com uveíte ativa, apesar do tratamento com corticoides (prednisona oral com dose de 10 a 60 mg/dia). Todos os pacientes receberam uma dose padronizada de 60 mg/dia de prednisona no início do estudo seguidos por uma programação de redução obrigatória, até a completa descontinuação do corticoide na semana 15.
O estudo UV II avaliou 226 pacientes com uveíte inativa que exigiam tratamento crônico com corticoides (prednisona oral de 10 a 35 mg/dia) no baseline para controle da sua doença. Os pacientes foram submetidos posteriormente a uma programação de redução obrigatória até a completa descontinuação do corticoide na semana 19.
Resposta clínica
Os resultados de ambos os estudos demonstraram uma redução estatisticamente significante do risco de falha do tratamento em pacientes tratados com Humira versus os pacientes que receberam placebo (veja tabela 22). Os dois estudos demonstraram um efeito rápido e sustentado de Humira na taxa de falha do tratamento versus placebo (veja Figura 4).

Em ambos os estudos, todos os componentes para o desfecho primário contribuíram acumulativamente para a diferença global entre os grupos Humira e placebo (Tabela 23).

Adicionalmente, no estudo UV I, uma diferença estatisticamente relevante a favor de adalimumabe versus o placebo foi observada para mudanças no grau celular de AC, grau de turvação vítrea e logMAR BCVA (média da alteração do melhor estado antes da semana 6 até a visita final; valores p: 0,011, < 0,001 e 0,003, respectivamente).
Dos 417 indivíduos incluídos na extensão sem controle a longo prazo dos Estudos UV I e UV II, 46 individuos foram considerados inelegíveis (por exemplo, desenvolveram complicações secundaárias a retinopatia diabética, devido a cirurgia de catarata ou vitrectomia) e foram excluídos da análise primária de eficácia. Dos 371 pacientes restantes, 276 pacientes avaliáveis atingiram 78 semanas de tratamento com tratamento aberto de adalimumabe. Com base na abordagem de dados observados, 222 (80,4%) estavam em quiescência (sem lesões inflamatórias ativas, grau de células AC ≤0,5+, grau VH≤ 0,5+) com dose concomitante de esteroides ≤7,5 mg por dia e 184 (66,7%) estavam em quiescencia livre de esteroides. O BCVA foi melhorado ou mantido (deterioração < 5 letras) em 88,4% dos olhos na semana 78. Entre os pacientes que interromperam o estudo antes da semana 78, 11% interromperam devido a eventos adversos e 5% devido a resposta insuficiente ao tratamento com adalimumabe.
Qualidade de vida
No Estudo UV I, o tratamento com Humira resultou em manutenção das funções relacionadas a visão e a qualidade de vida relacionada à saúde, como medido pela NEI VFQ-25.
Artrite idiopática juvenil poliarticular em pacientes pediátricos
A segurança e eficácia de Humira foi avaliada em dois estudo (AIJp I e II) em crianças com artrite idiopática juvenil poliarticular (AIJ) ativa ou em curso, que tiveram uma variedade de tipos de início de AIJ (mais frequentemente poliartrite com fator reumatoide negativo ou positivo e oligoartrite estendida).
AIJp I
A segurança e eficácia de Humira foram avaliadas em um estudo34 multicêntrico, randomizado, duplo-cego, de grupos paralelos, em 171 crianças (de 4 a 17 anos de idade) com artrite idiopática juvenil poliarticular (AIJ). Na fase aberta introdutória (OL LI), os pacientes foram divididos em 2 grupos, os tratados com MTX (metotrexato) e os não tratados com MTX. Os pacientes que estavam no grupo dos não tratados com MTX, eram pacientes que nunca tinham recebido MTX ou que haviam suspendido o seu uso por pelo menos 2 semanas antes da administração da droga do estudo. Os pacientes mantiveram as doses regulares de AINEs e/ou prednisona (≤ 0,2 mg/kg/dia ou 10 mg/dia no máximo). Na fase OL LI, todos os pacientes receberam 24 mg/m2 até no máximo 40 mg de Humira, a cada 14 dias por 16 semanas. A distribuição dos pacientes por idade e dose mínima, média e máxima recebida durante a fase OL LI está descrita na Tabela 24.

Pacientes que demonstraram uma resposta pediátrica ACR 30 na semana 16 foram elegíveis para serem randomizados para a fase duplo-cego e receberam Humira 24 mg/m2 até o máximo de 40 mg ou placebo, a cada 14 dias por um período adicional de 32 semanas ou até o agravamento da doença. O critério para o agravamento da doença foi definido como uma piora de ≥ 30% em relação a avaliação inicial em ≥ 3 de 6 critérios principais do ACR pediátrico, ≥ 2 articulações ativas, e melhora > 30% em não mais que 1 dos 6 critérios. Após 32 semanas ou até o agravamento da doença, os pacientes foram eleitos para se inscreverem na fase de extensão aberta.

Entre aqueles que responderam até a semana 16 (n = 144), a resposta pediátrica ACR 30/50/90 foi mantida por até seis anos na fase OLE em pacientes que receberam Humira ao longo do estudo. No geral, 19 pacientes foram tratados por seis anos ou mais, sendo 11 dos 19 pacientes estando no grupo de faixa etária de 4 a 12 anos e os oito restantes, no grupo de faixa etária entre 13 e 17 anos.
As respostas gerais foram geralmente melhores, e menos pacientes desenvolveram anticorpos quando tratados com a combinação de Humira e MTX comparados com Humira isoladamente. 27 dos 171 pacientes (15,8%) apresentaram pelo menos um teste positivo para anticorpos antiadalimumabe nas primeiras 48 semanas do estudo. A porcentagem foi de 5,9% (5/85) na população que recebeu MTX e de 25,6% (22/86) na população sem MTX. A taxa total foi maior que aquela observada nos estudos em adultos com artrite reumatoide (AR). As concentrações médias de adalimumabe nos indivíduos anticorpos antiadalimumabe positivos foi menor que nos negativos e declinaram a níveis negligenciáveis na maioria dos pacientes anticorpos antiadalimumabe positivos após a identificação da primeira amostra positiva. Isso pode ter tido impacto na eficácia do produto nessa população, pois a proporção de indivíduos que alcançaram resposta Ped ACR 30 na semana 16 foi menor nos pacientes anticorpos antiadalimumabe positivos (63,2% comparado a 86,8% nos pacientes anticorpos antiadalimumabe negativos). Isso também refletiu nos resultados da semana 48 (42,9% versus 64,8%). As taxas de descontinuação devido a eventos adversos, inclusive os graves, foram semelhantes nos pacientes anticorpos antiadalimumabe positivos e negativos. Considerando estes resultados, Humira é recomendado para o uso em combinação com MTX e para o uso como monoterapia em pacientes cujo uso de MTX não é apropriado.
AIJp II
A segurança e eficácia de Humira foram avaliadas em um estudo aberto, multicêntrico35 com 32 crianças (2 a < 4 anos de idade ou com idade acima de 4 e peso < 15 kg) com AIJ poliarticular ativa de intensidade moderada a grave. Os pacientes receberam 24 mg/m2 de área de superfície corporal (ASC) de Humira até um máximo de 20 mg a cada 14 dias em dose única por via subcutânea, por um período mínimo de 24 semanas. Durante o estudo, a maioria dos pacientes utilizaram metotrexato concomitantemente, com pouco reporte de uso de corticosteróides ou AINEs. Na semana 12 e na semana 24, a resposta ACR Pediátrica 30 foi de 93,5% e 90,0%, respectivamente, utilizando a abordagem dos dados observados. As proporções dos pacientes com ACR Pediátrica de 50/70/90 na semana 12 e na semana 24 foi de 90,3%/61,3%/38,7% e 83,3%/73,3%/36,7%, respectivamente. Entre aqueles que responderam (ACR Pediátrica 30) na semana 24 (n = 27 dos 30 pacientes), a resposta ACR Pediátrica 30 foi mantida por até 60 semanas, na fase aberta do estudo, em pacientes que receberam Humira durante este período de tempo. Em geral, 20 pacientes foram tratados durante 60 semanas ou mais.
Artrite relacionada à Entesite
A segurança e eficácia de Humira foram avaliadas em um estudo multicêntrico, randomizado, duplo-cego, em 46 pacientes pediátricos (com 6 a 17 anos de idade) com artrite relacionada à entesite. Os pacientes foram distribuídos aleatoriamente para receber cada um 24 mg/m2 de área de superfície corporal (ASC) de Humira até um máximo de 40 mg, ou placebo a cada 14 dias, durante 12 semanas. O período duplo-cego foi seguido por um período aberto (OL), durante o qual os pacientes receberam 24 mg/m2 por ASC de Humira até um máximo de 40 mg por via subcutânea a cada 14 dias por um período adicional de até 192 semanas. O endpoint primário foi definido pela alteração da porcentagem, do número de articulações ativas com artrite (inchaço não devido à deformidade ou articulações com perda de movimento somado à dor e/ou sensibilidade), até a semana 12 a partir do baseline, que foi alcançada com a diminuição percentual média de -62,6% em pacientes no grupo Humira comparado a -11,6% em pacientes do grupo placebo. Melhora no número de articulações ativas com artrite foi mantida durante o período aberto do estudo até a semana 156. A maioria dos pacientes demonstraram melhora clínica nos endpoints secundários, tais como número de locais com entesite, contagem de articulações sensíveis (TJC), contagem de articulações inchadas (SJC), resposta pediátrica ACR 50 e resposta pediátrica ACR 70, mantendo-se esses resultadosessas melhorias durante o período OL até a semana 156 do estudo.
Doença de Crohn em pacientes pediátricos
Humira foi avaliado em um estudo clinico duplo-cego, randomizado, multicentrico36 desenhado para avaliar a eficácia e segurança na indução e no tratamento de manutenção com doses dependentes do peso corporal ( < 40 kg ou ≥ 40 kg) em 192 pacientes pediátricos entre 6 e 17 (inclusive) anos, com doença de Crohn de intensidade moderada a grave classificada como PCDAI > 30 (Pediatric Crohn's Disease Activity Index - PCDAI). Neste estudo, os pacientes tiveram que apresentar falha com a terapia convencional (incluindo um corticosteroide e/ou um imunomodulador) para doença de Crohn. Além disso, os pacientes incluídos no estudo tiveram ou não tratamento prévio com infliximabe. Aqueles pacientes tratados previamente com infliximabe também deveriam apresentar perda de resposta prévia ou serem intolerantes ao infliximabe, no entanto aqueles que não apresentaram uma resposta inicial, foram excluídos do estudo.
Todos os pacientes receberam terapia de indução no braço aberto do estudo com dose baseada no peso corporal: 160 mg na semana 0 e 80 mg na semana 2 para pacientes com peso ≥ 40 kg e, 80 mg e 40 mg respectivamente, para pacientes com peso < 40 kg.
Na semana 4, os pacientes foram randomizados 1:1 com base no seu peso corporal, no momento do regime de manutenção, com dose inferior ou dose padrão, conforme apresentado na Tabela 26.

Os pacientes incluídos no estudo puderam escalonar a dose em caso de não-resposta até a semana 12. O escalonamento de dose não foi permitido antes da semana 12 no estudo.
Resultados de eficácia
O endpoint primário do estudo foi a remissão clínica na semana 26, definida como PCDAI ≤ 10.
As taxas de remissão clínica e resposta clínica (definida como redução no PCDAI para no mínimo 15 pontos do baseline) são apresentadas na Tabela 26. Taxas de descontinuação de corticosteroides ou imunomoduladores são apresentados na Tabela 27.

Para pacientes com PCDAI baseline (mediano) ≥ 40 (pacientes com doença de Crohn grave), a dose padrão foi mais efetiva do que a dose inferior na semana 52 para a remissão clínica e resposta clínica (Tabela 28).



Imunogenicidade
Dados de AMGEVITA
Diferenças no método do ensaio para medir a imunogenicidade impedem a comparação direta das taxas de imunogenicidade entre AMGEVITA e Humira ou outros produtos biológicos em diferentes estudos. Tanto no AR ABP-Estudo 1 quanto no Ps ABP-Estudo 1, a atividade ligante de ADA foi determinada por meio de um imunoensaio de ponte, e a atividade neutralizante de ADA foi determinada por meio de bioensaio baseado em células.
Os pacientes no AR ABP-Estudo 1 foram testados em múltiplos pontos de tempo quanto a anticorpos contra Humira e AMGEVITA durante o período de 26 semanas do estudo. A incidência de desenvolvimento de anticorpos ligantes foi 38,3% (101/264) no grupo de AMGEVITA e 38,2% (100/262) no grupo de Humira; a incidência de desenvolvimento de anticorpos neutralizantes foi 9,1% (24/264) no grupo de AMGEVITA e 11,1% (29/262) no grupo de Humira. Com base nos dados do AR ABP-Estudo 1, o perfil de imunogenicidade de AMGEVITA foi considerado semelhante ao de Humira.
Os pacientes no Ps ABP-Estudo 1 foram testados em múltiplos pontos de tempo quanto a anticorpos contra Humira e AMGEVITA durante o período de 52 semanas do estudo. A incidência de desenvolvimento de anticorpos ligantes durante todo o estudo foi 68,4% (104/152) no grupo de AMGEVITA/AMGEVITA, 74,7% (59/79) no grupo de Humira/Humira e 72,7% (56/77) no grupo de Humira/AMGEVITA; a incidência de desenvolvimento de anticorpos neutralizantes foi 13,8% (21/152) no grupo de AMGEVITA/AMGEVITA, 20,3% (16/79) no grupo de Humira/Humira e 24,7% (19/77) no grupo de Humira/AMGEVITA. O grupo de Humira/AMGEVITA reflete dados para indivíduos expostos tanto a Humira quanto a AMGEVITA antes e depois da transição de indivíduos de Humira para AMGEVITA. Os perfis de segurança e imunogenicidade de pacientes que transicionaram de Humira para AMGEVITA foram comparáveis aos daqueles que continuaram recebendo Humira até o fim do estudo (semana 52).
Dados de Humira
A formação de anticorpos antiadalimumabe está associada ao aumento da depuração e redução da eficácia de adalimumabe. Não há aparente correlação entre a presença destes anticorpos e eventos adversos.
Considerando que a análise da imunogenicidade é específica ao produto, a comparação das taxas de anticorpos com aqueles de outros medicamentos não é apropriada.
Adultos - Pacientes que participaram dos estudos I, II e III de artrite reumatoide foram testados para formação de anticorpos antiadalimumabe em diversos pontos durante o período de 6 a 12 meses. Nos estudos pivotais, anticorpos antiadalimumabe foram identificados em 5,5% (58/1053) dos pacientes tratados com adalimumabe, em comparação com 0,5% (2/370) em pacientes que receberam placebo. Em pacientes que não fizeram uso concomitante de metotrexato, a incidência foi de 12,4% em comparação com 0,6% quando o adalimumabe foi utilizado em associação com metotrexato.
Em pacientes com artrite psoriásica, anticorpos antiadalimumabe foram identificados em 10% (38/376) de pacientes tratados com adalimumabe. Em pacientes que não fizeram uso concomitante de metotrexato, a incidência foi de 13,5% (24/178), em comparação com 7% (14/198) em pacientes que receberam adalimumabe em associação com metotrexato.
Para pacientes com espondilite anquilosante, os anticorpos antiadalimumabe foram identificados em 8,3% (17/204) dos pacientes sob terapia com adalimumabe. Pacientes que não receberam tratamento concomitante de metotrexato apresentaram incidência de 8,6% (16/185), em comparação com 5,3% (1/19) quando o metotrexato foi utilizado juntamente ao adalimumabe.
Em pacientes com doença de Crohn, anticorpos antiadalimumabe foram identificados em 2,6% (7/26,9) dos pacientes tratados com adalimumabe, enquanto que nos pacientes com colite ulcerativa ativa moderada a grave, a taxa de desenvolvimento de anticorpos antiadalimumabe foi de 5,0%.
Em pacientes com psoríase, anticorpos antiadalimumabe foram identificados em 8,4% (77/920) dos pacientes tratados com adalimumabe sem uso concomitante de metotrexato.
Em pacientes com psoríase em placas, sob uso prolongado de adalimumabe sem administração concomitante de metotrexato que participaram de estudo de retirada e retomada de tratamento, a taxa de anticorpos antiadalimumabe após a retomada da terapia foi de 2,3% e foi similar à taxa de 1,9% observada antes da retirada do tratamento.
Em pacientes com hidradenite supurativa moderada a grave, antiadalimumabe foram identificados em 10,1% (10/99) dos pacientes tratados com adalimumabe.
Em pacientes com uveíte não infecciosa, anticorpos anti-adalimumabe foram identificados em 4,8% (12/249) dos pacientes tratados com adalimumabe.
Pediátricos - Em pacientes com artrite idiopática juvenil poliarticular com idade entre 4 a 17 anos, foram identificados anticorpos antiadalimumabe em 16% dos pacientes tratados com adalimumabe. Em pacientes que não receberam metotrexato concomitantemente à terapia com adalimumabe, a incidência foi de 26% em comparação a incidência de 6% observada quando o adalimumabe foi utilizado juntamente ao metotrexato. Em pacientes com idade entre 2 a 4 anos ou com mais de 4 anos de idade e com peso abaixo de 15 kg, anticorpos antiadalimumabe foram identificados em 7% (1/15) dos pacientes e este único paciente também recebeu metotrexato concomitantemente ao tratamento com adalimumabe.
Em pacientes pediátricos com doença de Crohn ativa moderada a grave, a taxa de desenvolvimento de anticorpos antiadalimumabe em pacientes tratados com adalimumabe foi de 3,3%.
Referências bibliográficas
Reumatologia
1. Weinblatt ME, Keystone EC, Furst DE, et al. Adalimumab, a fully human anti-tumor necrosis factor monoclonal antibody, for the treatment of rheumatoid arthritis in patients taking concomitant methotrexate: the ARMADA trial. Arthritis Rheum. 2003;48(1):35-45.
2. van de Putte LB, Atkins C, Malaise M, et al. Efficacy and safety of adalimumab as monotherapy in patients with rheumatoid arthritis for whom previous disease modifying antirheumatic drug treatment has failed. Ann Rheum Dis. 2004;63(5):508-16.
3. Keystone EC, Kavanaugh AF, Sharp JT, et al. Radiographic, clinical, and functional outcomes of treatment with adalimumab (a human anti-tumor necrosis factor monoclonal antibody) in patients with active rheumatoid arthritis receiving concomitant methotrexate therapy: a randomized, placebo-controlled, 52-week trial. Arthritis Rheum. 2004;50(5):1400-11.
4. Furst DE, Schiff MH, Fleischmann RM, et al. Adalimumab, a fully human anti-tumor necrosis factor-alpha monoclonal antibody, and concomitant standard antirheumatic therapy for the treatment of rheumatoid arthritis: results of STAR (Safety Trial of Adalimumab in Rheumatoid Arthritis). J Rheumatol. 2003;30(12):2563-71.
5. Breedveld FC, Weisman MH, Kavanaugh AF, et al. The PREMIER study: A multicenter, randomized, double-blind clinical trial of combination therapy with adalimumab plus methotrexate versus methotrexate alone or adalimumab alone in patients with early, aggressive rheumatoid arthritis who had not had previous methotrexate treatment. Arthritis Rheum. 2006;54(1):26-37.
6. Keystone EC, et al. Inhibition of radiographic progression in patients with longstanding rheumatoid arthritis treated with adalimumab plus methotrexate for 5 Years. Ann Rheum Dis. 2007;66(Suppl II):176.
7. Mease PJ, Gladman DD, Ritchlin CT, et al. A. Adalimumab for the treatment of patients with moderately to severely active psoriatic arthritis: results of a double-blind, randomized, placebo-controlled trial. Arthritis Rheum. 2005;52(10):3279-89.
8. Genovese MC, Mease PJ, Thomson GT, et al. Safety and efficacy of adalimumab in treatment of patients with psoriatic arthritis who had failed disease modifying antirheumatic drug therapy. J Rheumatol. 2007;34(5):1040-50.
9. Mease PJ, Ory P, Sharp JT, et al. Adalimumab for long-term treatment of psoriatic arthritis: two-year data from the Adalimumab Effectiveness in Psoriatic Arthritis Trial (ADEPT). Ann Rheum Dis. 2009 May;68(5):702-9.
10. Gladman DD, Mease PJ, Ritchlin CT, et al. Adalimumab for long-term treatment of psoriatic arthritis: forty-eight week data from the adalimumab effectiveness in psoriatic arthritis trial. Arthritis Rheum. 2007;56(2):476-88.
11. van der Heijde D, Kivitz A, Schiff MH, et al. Efficacy and safety of adalimumab in patients with ankylosing spondylitis: Results of a multicenter, randomized, double-blind, placebo-controlled trial. Arthritis Rheum. 2006;54(7):2136-46.
12. Lambert RG, Salonen D, Rahman P, et al. Adalimumab significantly reduces both spinal and sacroiliac joint inflammation in patients with ankylosing spondylitis: a multicenter, randomized, double-blind, placebo-controlled study. Arthritis Rheum. 2007;56(12):4005-14.
13. Maksymowych WP, Rahman P, Shojania K, et al. Beneficial effects of adalimumab on biomarkers reflecting structural damage in patients with ankylosing spondylitis. J Rheumatol. 2008;35(10):2030-7.
14. van der Heidje D, et al. Adalimumab effectiveness for the treatment of ankylosing spondylitis is maintained for up to 2 years: long-term results from the ATLAS trial. Ann Rheum Dis. Online publication on 08/13/2008. doi:10.1136/ard.2007.087270.
15. Revicki DA, Luo MP, Wordsworth P, et al. Adalimumab reduces pain, fatigue, and stiffness in patients with ankylosing spondylitis: results from the adalimumab trial evaluating long-term safety and efficacy for ankylosing spondylitis (ATLAS). J Rheumatol. 2008;35(7):1346-53.
16. Davis JC Jr, Revicki D, van der Heijde DM, et al. Health-related quality of life outcomes in patients with active ankylosing spondylitis treated with adalimumab: results from a randomized controlled study. Arthritis Rheum. 2007;57(6):1050-7.
17. Sieper J, van der Heijde D, Dougados M et al. Efficacy and safety of adalimumab in patients with non-radiographic axial spondyloarthritis: results of a randomized placebo-controlled trial (ABILITY-1). Ann Rheum Dis 2012;0:1-8. doi:10.1136/annrheumdis-2012-201766.
18. Sieper J., van der Heijde D, Dougados M. et al. Sustained efficacy of adalimumab in patients with non-radiographic axial spondyloarthritis: Week 68 results from Ability 1. Ann Rheum Dis 2012;71(Suppl3):248.
19. Dados de arquivo
Doença de Crohn em adultos
20. Hanauer SB, Sandborn WJ, Rutgeerts P, et al. Human anti-tumor necrosis factor monoclonal antibody (adalimumab) in Crohn's disease: the CLASSIC-I trial. Gastroenterology. 2006;130(2):323-33.
21. Sandborn WJ, Rutgeerts P, Enns R, et al. Adalimumab induction therapy for Crohn's disease previously treated with infliximab: a randomized trial. Ann Intern Med. 2007;146(12):829-38.
22. Colombel JF, Sandborn WJ, Rutgeerts P, et al. Adalimumab for maintenance of clinical response and remission in patients with Crohn's disease: the CHARM trial. Gastroenterology. 2007;132(1):52-65.
23. Feagan BG, Panaccione R, J Sandborn WJ, et al. Effects of Adalimumab Therapy on Incidence of Hospitalization and Surgery in Crohn's Disease: Results From the CHARM Study. Gastroenterology. 2008;135:1493-9.
24. Rutgeerts P, D'Haens GR, Van Assche GA, et al. Adalimumab Induces and Maintains Mucosal Healing in Patients with Moderate to Severe Ileocolonic Crohn's Disease - First Results of the Extend Trial. Gastroenterology. 2009;136 (5 Suppl 1):A-116.
Colite ulcerativa ou retocolite ulcerativa
25. Reinisch W, Sandborn WJ, Hommes DW, et al. Adalimumab for induction of clinical remission in moderately to severely active ulcerative colitis: results of a randomised controlled trial. Gut. 2011 Jun;60(6):780-7.
26. Sandborn WJ, van Assche G, Reinisch W, el al. Adalimumab Induces and Maintains Clinical Remission in Patients With Moderate-to-Severe Ulcerative Colitis. Gastroenterology. 2012 Feb;142(2):257-65.e1-3.
Psoríase
27. Poulin Y, Crowley J.J, Langley R.G, et al. Efficacy of adalimumab across subgroups of patients with moderate-to-severe chronic plaque psoriasis of the hands and/or feet: post hoc analysis of REACH. J EU Acad Dermatol. Venereol. 2014;28: 882-890.
28. Menter A, Tyring SK, Gordon K, et al. Adalimumab therapy for moderate to severe psoriasis: A randomized, controlled phase III trial. J Am Acad Dermatol. 2008;58(1):106-15.
29. Saurat JH, Stingl G, Dubertret L, et al. Efficacy and safety results from the randomized controlled comparative study of adalimumab vs. methotrexate vs. placebo in patients with psoriasis (CHAMPION). Br J Dermatol. 2008;158(3):558-66.
30. Revicki D, Willian MK, Saurat JH, et al. Impact of adalimumab treatment on health-related quality of life and other patient-reported outcomes: results from a 16-week randomized controlled trial in patients with moderate to severe plaque psoriasis. Br J Dermatol. 2008;158(3):549-57.
31. Revicki DA, Willian MK, Menter A, et al. Impact of adalimumab treatment on patient-reported outcomes: results from a Phase III clinical trial in patients with moderate to severe plaque psoriasis. J Dermatolog Treat. 2007;18(6):341-50.
Uveíte
32. Jaffe, Glenn J; Thorne, Jennifer E., Scales David; et al. Adalimumab in Patients with Active, Non-infectious Uveitis Requiring High-dose Corticosteroids: the VISUAL-1 Trial. Investigative Ophthalmology & Visual Science June 2015, Vol.56, 3115.
33. Nguyen QD, Kurup SK, Merrill P, Sheppard J, Van Calster J, Dick AD, Jaffe G, Mackensen F, Rosenbaum JT, Schlaen A, Camez A, Tari S, Kron M, Song A, Brezin A. Adalimumab in Patients with Inactive, Non-Infectious Uveitis Requiring Systemic Treatment [abstract]. Arthritis Rheumatol. 2015; 67 (suppl 10).
Artrite idiopática juvenil poliarticular
34. Lovel DJ, Ruperto N, Goodman S, Reiff A, Jung L, Jarosova K, et al. Adalimumab with or without Methotrexate in Juvenile Rheumatoid Arthritis. N Engl J Med 2008;359:810-20.
35. Daniel J., Kingsbury, Pierre Quartier, Vipin Arora, et al. Safety and Effectiveness Of Adalimumab in Children with Polyarticular juvenile Idiopathic Arthritis Aged 2 To < 4 Years Or > = 4 Years Weighing < 15 Kg., Arthritis & rheumatism; [0004-3591] Volume: 65; Issue: Suppl. 10; Year: 203; Pages: S117.
Doença
de Crohn em pacientes pediátricos
36. Hyams JS1, Griffiths A, Markowitz J, et al. Safety and efficacy of adalimumab for moderate to severe Crohn's disease in children. Gastroenterology. 2012 Aug; 143(2):365-74.
Uveíte pediátrica
37. Ramanan AV, Dick AD, Jones AP, et al. Adalimumab plus methotrexate for uveitis in juvenile idiopathic arthritis. NEJM 2017; 376;17:1637-46.

3. CARACTERÍSTICAS FARMACOLÓGICAS
Descrição
AMGEVITA é um anticorpo monoclonal anti-TNFa totalmente humano expresso na linha de células ovarianas de hamster chinês (CHO). AMGEVITA consiste de 2 cadeias pesadas (CP) de subclasse lgG1 e 2 cadeias leves (CL) de subclasse kapa humana, que são ligadas de forma covalente através de ligações de dissulfeto. AMGEVITA é produzido por tecnologia de DNA recombinante em um sistema de expressão de células de mamíferos e é purificado por um processo que inclui inativação viral específica e etapas de remoção. Contém 1.330 aminoácidos e um peso molecular de aproximadamente 148 quilodaltons. A sequência de aminoácidos de AMGEVITA é idêntica à de Humira.
AMGEVITA é um medicamento de uso crônico e, portanto, o tempo estimado de início da ação terapêutica não é relevante. Considerando a monoterapia com dosagem de 40 mg, as concentrações séricas mínimas duas semanas depois da primeira dose são 2,9 mg/mL, valor que excede EC50 (1 mcg/mL), o que sugere que as concentrações farmacológicas são alcançadas depois da primeira dose.
Farmacologia clínica
Mecanismo de ação
O adalimumabe liga-se especificamente ao TNF, neutralizando sua função biológica através do bloqueio de sua interação com os receptores de TNF (p55 e p75) presentes na superfície celular. O TNF é uma citocina de ocorrência natural, envolvida nas respostas inflamatórias e imunes normais. Níveis elevados de TNF são encontrados no líquido sinovial de pacientes com artrite reumatoide, incluindo artrite idiopática juvenil poliarticular, artrite psoriásica e espondilite anquilosante, desempenhando um papel importante tanto na inflamação patológica quanto na destruição da articulação, características destas doenças. Níveis elevados de TNF também são encontrados nas placas psoriásicas. Nestas placas, o tratamento com adalimumabe pode reduzir a espessura da epiderme e infiltração de células inflamatórias. O aumento dos níveis de TNF são também encontrados nas lesões de hidradenite supurativa (HS). A relação entre estas atividades farmacodinâmicas e o mecanismo de ação de adalimumabe é desconhecida.
O adalimumabe também modula respostas biológicas induzidas ou reguladas pelo TNF, incluindo alterações nos níveis de moléculas de adesão, responsáveis pela migração de leucócitos (ELAM-1, VCAM-1 e ICAM-1 com IC50 de 1-2 X 10-10 M).
Farmacodinâmica
Após o tratamento com Humira, observou-se uma rápida diminuição em relação aos níveis basais dos marcadores de fase aguda da inflamação (proteína C-reativa [PCR], velocidade de hemossedimentação [VHS], e citocinas séricas como a IL-6) em pacientes com artrite reumatoide. Uma diminuição nos níveis de proteína C-reativa também foi observada em pacientes com artrite idiopática juvenil poliarticular, ou doença de Crohn, colite ulcerativa, ou retocolite ulcerativa, ou hidradenite supurativa, bem como uma significativa redução na expressão de TNF e nos marcadores inflamatórios, como o antígeno leucocitário humano (HLA-DR), e a mieloperoxidase (MPO) no cólon de pacientes com doença de Crohn. Observou-se também uma diminuição dos níveis séricos de metaloproteinases matriciais (MMP-1 e MMP-3), responsáveis pela remodelação tissular e pela destruição da cartilagem. Os pacientes com artrite reumatoide, artrite psoriásica e espondilite anquilosante frequentemente apresentam anemia leve a moderada e redução da contagem de linfócitos, bem como aumento do número de neutrófilos e de plaquetas. Os pacientes tratados com adalimumabe geralmente apresentam melhora nesses parâmetros hematológicos de inflamação crônica.
Estimativas da EC50 variando de 0,8 a 1,4 mcg/mL foram obtidas através da modelagem farmacocinética/farmacodinâmica de contagem de articulações inchadas, contagem de articulações doloridas e da resposta ACR 20 dos pacientes que participam dos estudos fase II e III.
Farmacocinética
Dados de AMGEVITA
AMGEVITA é farmacocinéticamente similar ao Humira.
Dados de Humira
Absorção:
Após administração de dose única de 40 mg de adalimumabe por via subcutânea (SC) em 59 indivíduos adultos saudáveis, observou-se absorção e distribuição lenta do adalimumabe, com pico de concentração plasmática médio em cerca de cinco dias após a administração. A biodisponibilidade média absoluta do adalimumabe estimada a partir de três estudos após dose única subcutânea de 40 mg foi de 64%.
Distribuição e eliminação: A farmacocinética de dose única do adalimumabe foi determinada em vários estudos com doses intravenosas (IV) variando entre 0,25 a 10 mg/kg. O volume de distribuição variou de 4,7 a 6,0 litros, indicando que o adalimumabe se distribui de modo similar nos líquidos vascular e extravascular. O adalimumabe é eliminado lentamente, com depuração tipicamente abaixo de 12 mL/h. A meia-vida média da fase terminal foi de aproximadamente duas semanas, variando de 10 a 20 dias. A depuração e a meia-vida permaneceram relativamente inalteradas no intervalo de doses estudado, e a meia-vida terminal foi semelhante após administração intravenosa e subcutânea. As concentrações do adalimumabe no liquido sinovial de vários pacientes com artrite reumatoide (AR) variou de 31% a 96% da concentração plasmática.
Farmacocinética no estado de equilíbrio: O acúmulo do adalimumabe foi previsível com base na meia-vida após administração SC de 40 mg de adalimumabe a cada 14 dias em pacientes com AR atingindo, em média, concentrações mínimas no estado de equilíbrio de aproximadamente 5 mcg/mL (sem administração concomitante de metotrexato) e de 8 a 9 mcg/mL (com administração concomitante de metotrexato). Os níveis plasmáticos do adalimumabe no estado de equilíbrio aumentaram quase proporcionalmente com a dose após administração SC de 20, 40 e 80 mg semanalmente ou a cada 14 dias. Em estudos de longa duração com administração por mais de dois anos, não houve evidência de alterações na depuração em função do tempo.
Em pacientes com psoríase, a concentração média no estado de equilíbrio é 5 mcg/mL durante o tratamento de adalimumabe 40 mg sem tratamento concomitante com metotrexato a cada duas semanas.
Em pacientes com hidradenite supurativa, a dose de 160 mg de adalimumabe na semana 0 seguida por 80 mg na semana 2 alcançou uma concentração sérica de adalimumabe de aproximadamente 7 a 8 mcg/mL na semana 2 e na semana 4. A concentração média no estado de equilíbrio na semana 12 para semana 36 foi aproximadamente 8 a 10 mcg/mL durante o tratamento com adalimumabe 40 mg por semana.
Em pacientes com uveíte, uma dose de ataque de 80 mg de adalimumabe na semana 0 seguidos de 40 mg em semanas alternadas, iniciando na semana 01, resultou na concentração média no estado de equilíbrio de aproximadamente 8 a 10 mcg/mL.
A análise populacional de farmacocinética, com dados de mais de 1.200 pacientes, revelou que a administração concomitante de metotrexato apresentou um efeito intrínseco sobre a depuração aparente do adalimumabe (vide Interações Medicamentosas). Conforme esperado, houve uma tendência a aumento da depuração aparente do adalimumabe com o aumento do peso corporal e com a presença de anticorpos antiadalimumabe.
Foram identificados também outros fatores de menor importância: foi prevista maior depuração aparente em pacientes recebendo doses menores do que a dose recomendada, e em pacientes com altas concentrações de fator reumatoide ou de proteína C-reativa. Esses fatores não parecem ser clinicamente relevantes.
Após a administração subcutânea de 40 mg de adalimumabe a cada duas semanas em pacientes adultos com espondiloartrite axial não radiográfica, a média (± DP) através da concentração no estado de equilíbrio na semana 68 foi de 8,0 ±4,6 mcg / mL.
Em pacientes com doença de Crohn, com a dose inicial de 160 mg via SC na semana 0, seguida de 80 mg na semana 2, o adalimumabe atingiu nível sérico médio de aproximadamente 12 mcg/mL na semana 2 e semana 4. Nível médio do estado de equilíbrio (steady-state) de aproximadamente 7 mcg/mL foi observado na semana 24 e semana 56 em pacientes com doença de Crohn após receberem a dose de manutenção de 40 mg de adalimumabe a cada 14 dias.
Em pacientes com colite ulcerativa ou retocolite ulcerativa, com a dose inicial de 160 mg via SC na semana 0, seguida de 80 mg na semana 2, o adalimumabe atingiu nível sérico médio de aproximadamente 12 mcg/mL no período de indução clínica. Nível médio do estado de equilíbrio (steady-state) de aproximadamente 8 mcg/mL foi observado em pacientes com colite ulcerativa ou retocolite ulcerativa após receberem a dose de manutenção de 40 mg de Humira a cada 14 dias.
Populações especiais
Geriatria:
A idade parece exercer um efeito mínimo sobre a depuração aparente do adalimumabe. Em análise populacional, a depuração média (ajustada segundo peso corpóreo), em pacientes de 40 a 65 anos (n = 850) e ≥ 65 anos (n = 287) foi de 0,33 e 0,30 mL/h/kg, respectivamente.
Pediatria: Após a administração subcutânea de 24 mg/m2 (até no máximo de 40 mg) a cada 14 dias a pacientes com artrite idiopática juvenil poliarticular (AIJ), a média no estado de equilíbrio estável (valores medidos da semana 20 a semana 48) da concentração sérica de adalimumabe foi 5,6 ± 5,6 mcg/mL (102% CV) na terapia de adalimumabe sem tratamento concomitante com metotrexato e 10,9 ± 5,2 mcg/mL (47,7% CV) com metotrexato concomitante. A média no estado de equilíbrio estável da concentração sérica de adalimumabe para pacientes pesando < 30 kg recebendo 20 mg de adalimumabe via subcutânea a cada 14 dias como monoterapia ou com metotrexato concomitante foi 6,8 mcg/mL e 10,9 mcg/mL, respectivamente. A média no estado de equilíbrio estável da concentração sérica de adalimumabe para sujeitos pesando > 30 kg recebendo 40 mg de adalimumabe via subcutânea a cada 14 dias sem ou com metotrexato concomitante foi 6,6 mcg/mL e 8,1 mcg/mL, respectivamente.
Em pacientes com AIJ poliarticular com idade de 2 < 4 anos ou 4 anos pesando menos que 15 kg, após a administração subcutânea de 24 mg/m2, a média no estado de equilíbrio estável da concentração sérica de adalimumabe foi 6,0 ± 6,1 mcg/mL (101% CV) na terapia de adalimumabe sem tratamento concomitante com metotrexato e 7,9 ± 5,6 mcg/mL (71,2% CV) com metotrexato concomitante.
Em pacientes pediátricos com doença de Crohn ativa moderada a grave, a dose de indução de adalimumabe foi de 160/80 mg ou 80/40 mg nas semanas 0 e 2, respectivamente, dependentes de um peso corporal de 40 kg. Na semana 4, os pacientes foram randomizados 1:1, seja na dose padrão (40/20 mg a cada 14 dias) ou na dose baixa de manutenção (20/10 mg a cada 14 dias) com base em seu peso corporal. A média (± DP) de concentrações séricas de adalimumabe alcançadas na semana 4 foram de 15,7 ± 6,6 mcg/mL para pacientes com ≥ 40 kg (160/80 mg) e 10,6 ± 6,1 mcg/mL para pacientes com < 40 kg (80/40 mg). Para os pacientes que ficaram em sua terapia randomizada, a média (± DP) de concentrações séricas de adalimumabe alcançadas na semana 52 foram de 9,5 ± 5,6 mcg/mL para o grupo dose padrão e 3,5 ± 2,2 mcg/mL para o grupo de baixa dose. As concentrações médias foram mantidas em pacientes que continuaram a receber tratamento com adalimumabe a cada 14 dias durante 52 semanas. Para os pacientes que tiveram a dose escalonada de a cada 14 dias para um regime semanal, a média (± DP) das concentrações séricas de adalimumabe alcançada na semana 52 foram de 15,3 ± 11,4 mcg/mL (40/20 mg, semanalmente) e 6,7 ± 3,5 mcg/mL (20/10 mg, semanalmente).
Após a administração por via subcutânea de 24 mg/m2 (até um máximo de 40 mg) a cada 14 dias em pacientes com artrite relacionada a entesite, as concentrações séricas médias de adalimumabe no estado de equilíbrio (valores medidos na semana 24) foram 8,8 ± 6,6 mcg/mL para adalimumabe sem metotrexato concomitante e 11,8 ± 4,3 mcg/mL para adalimumabe com metotrexato concomitante. A exposição de adalimumabe em pacientes pediátricos com uveíte não infecciosa anterior crônica foi avaliada utilizando modelos farmacocinéticos e de simulação na população, baseados na farmacocinética nas várias indicações em outros pacientes pediátricos (psoríase pediátrica, artrite idiopática juvenil, doença de Crohn pediátrica e artrite relacionada à entesite). Não existem dados clínicos de exposição sobre a utilização de uma dose de ataque em crianças < 06 anos de idade. As exposições avaliadas indicam que na ausência de metotrexato, uma dose de ataque pode levar a um aumento inicial da exposição sistêmica.
Sexo: Não foram observadas diferenças farmacocinéticas relacionadas ao sexo do paciente após correção para o peso corporal.
Etnia: Não são esperadas diferenças na depuração de imunoglobulinas entre indivíduos de diferentes etnias. Com base em dados de pacientes não caucasianos, não foram observadas diferenças farmacocinéticas importantes para o adalimumabe.
Insuficiência renal e hepática: Nenhum dado de farmacocinética está disponível em pacientes com insuficiência renal ou hepática.
Pacientes com artrite reumatoide: A farmacocinética foi a mesma em voluntários sadios e em portadores de artrite reumatoide.

4. CONTRAINDICAÇÕES
AMGEVITA é contraindicado para o uso em pacientes com conhecida hipersensibilidade ao adalimumabe ou quaisquer componentes da fórmula do produto.
AMGEVITA é contraindicado para uso em pacientes com Tuberculose ativa ou outras infeções graves, nomeadamente, sepse e infeções oportunistas (vide Advertências e Precauções).
AMGEVITA é contraindicado para uso em pacientes com insuficiência cardíaca moderada a grave (classe III/IV da NYHA) - vide Advertências e Precauções.

5. ADVERTÊNCIAS E PRECAUÇÕES
Com o objetivo de melhorar a rastreabilidade de produtos biológicos, o nome comercial e o lote do medicamento utilizado devem ser registrados.
Infecções - Infecções graves devido a bactérias, micobactérias, infecções fúngicas invasivas (histoplasmose disseminada ou extrapulmonar, aspergilose, coccidioidomicose), virais, parasitária ou outras infecções oportunistas foram relatadas por pacientes que receberam agentes inibidores de TNF. Sepsis, raros casos de tuberculose, candidíase, listeriose, legionelose e pneumocistose, também foram relatados em pacientes tratados com antagonistas do TNF, inclusive com adalimumabe. Outras infecções graves como pneumonia, pielonefrite, artrite séptica e septicemia foram relatadas em estudos clínicos. Hospitalização ou resultados fatais foram reportados associados com as infecções. Muitas das infecções graves ocorreram em pacientes tratados concomitantemente com imunossupressores, que, além da própria doença subjacente, podem predispor a infecções.
O tratamento com AMGEVITA não deve ser iniciado em pacientes com infecções ativas, incluindo infecções crônicas ou localizadas, até que as infecções estejam controladas. Em pacientes que foram expostos à tuberculose e pacientes que viajaram para áreas de alto risco de tuberculose ou de micoses endêmicas, como histoplasmose, coccidioidomicoses, ou blastomicoses, os riscos e benefícios do tratamento com AMGEVITA devem ser considerados antes de iniciar a terapia (vide Outras Infecções Oportunistas).
Assim como outros antagonistas do TNF, antes, durante e após o tratamento com AMGEVITA, os pacientes devem ser monitorados cuidadosamente quanto à presença de infecções, incluindo tuberculose.
Pacientes que desenvolverem nova infecção durante o tratamento com AMGEVITA devem ser monitorados cuidadosamente e submetidos a uma avaliação diagnóstica completa. A administração de AMGEVITA deve ser interrompida se o paciente desenvolver infecção grave ou sepsis, e deve ser iniciada uma terapia apropriada com antimicrobiano ou antifúngico até que a infecção esteja controlada. Recomenda-se cautela quando se decidir utilizar AMGEVITA em pacientes com histórico de infecções de repetição ou com doença de base que possa predispor o paciente a infecções.
Tuberculose - Foram relatados casos de tuberculose, incluindo reativação e nova manifestação de tuberculose, em pacientes recebendo adalimumabe. Os relatos incluíram casos de tuberculose pulmonar e extrapulmonar (ou seja, disseminada).
Antes de iniciar o tratamento com AMGEVITA, todos os pacientes devem ser avaliados quanto à presença de infecção por tuberculose ativa e inativa (latente). Esta avaliação deve incluir uma avaliação médica detalhada do histórico do paciente com tuberculose, ou identificação de uma possível exposição prévia a pessoas com tuberculose ativa, e tratamento prévio e/ou atual com imunossupressores. Testes de triagem apropriados (ex.: radiografia de tórax e teste tuberculínico - PPD) devem ser realizados. O tratamento de infecção por tuberculose latente deve ser iniciado anteriormente à terapia com AMGEVITA. Quando o teste tuberculínico for realizado para detecção de tuberculose latente, a enduração de tamanho igual ou maior que 5 mm, deve ser considerada positiva, mesmo se previamente vacinados com Bacilo de Calmette-Guérin (BCG).
A possibilidade de tuberculose latente não detectada deve ser considerada especialmente em pacientes que imigraram de/ou viajaram a países com uma alta prevalência de tuberculose ou que tiveram contato próximo com pessoas que apresentem tuberculose ativa.
Se a tuberculose ativa for diagnosticada, o tratamento com AMGEVITA não deve ser iniciado.
Se for diagnosticada tuberculose latente, o tratamento apropriado deve ser iniciado com profilaxia antituberculose antes que o tratamento com AMGEVITA seja iniciado e de acordo com as recomendações locais. O uso de um tratamento antituberculose profilático também deve ser considerado antes de iniciar o tratamento com AMGEVITA em pacientes com fatores de risco altos ou significantes para tuberculose, apesar do resultado negativo no teste para tuberculose, e em pacientes com história pregressa de tuberculose ativa ou latente nos quais um curso adequado de tratamento não pode ser confirmado. A decisão de iniciar uma terapia antituberculose nestes pacientes somente deve ser tomada após avaliação do risco de infecção por tuberculose latente e do risco da terapia antituberculose. Se necessário, deve-se consultar um médico especialista em tratamento da tuberculose.
O tratamento antituberculose de pacientes com tuberculose latente reduz o risco da reativação em pacientes recebendo AMGEVITA. Apesar do tratamento profilático para tuberculose, ocorreram casos de reativação da tuberculose em pacientes tratados com adalimumabe. Além disso, pacientes recebendo adalimumabe, cujas triagens para tuberculose latente foram negativas, desenvolveram tuberculose ativa e, alguns pacientes que foram tratados com sucesso para tuberculose ativa, apresentaram reaparecimento de tuberculose, durante o tratamento com agentes bloqueadores TNF.
Pacientes que utilizam AMGEVITA devem ser monitorados para sinais e sintomas de tuberculose ativa, particularmente porque os testes para infecção por tuberculose latente podem dar resultados falso-negativos. O risco de resultado falso negativo para o teste tuberculínico deve ser considerado especialmente em pacientes que estão severamente debilitados ou imunocomprometidos.
Os pacientes devem ser instruídos a procurar atendimento médico se apresentarem sinais/sintomas sugestivos para infecção por tuberculose (ex.: tosse persistente, perda de peso, febre baixa, apatia) durante e após a terapia com AMGEVITA.
Outras infecções oportunistas - Infecções oportunistas, incluindo infecções fúngicas invasivas, foram observadas em pacientes que receberam adalimumabe. Estas infecções não são consistentemente reconhecidas em pacientes que usam bloqueadores de TNF e isto leva ao atraso no início do tratamento apropriado, algumas vezes resultando em fatalidades.
Pacientes que usam bloqueadores de TNF são mais suscetíveis a infecções fúngicas graves, tais como histoplasmose, coccidioidomicose, blastomicose, aspergilose, candidíase e outras infecções oportunistas. Aqueles que desenvolvem febre, mal-estar, perda de peso, sudorese, tosse, dispneia e/ou infiltrados pulmonares, ou outras doenças sistêmicas graves, com ou sem choque concomitante, devem prontamente procurar o médico para uma avaliação diagnóstica.
Para pacientes que residem ou viajam para regiões onde micoses são endêmicas, deve-se suspeitar de infecções fúngicas invasivas se eles desenvolverem sinais e sintomas de possível infecção fúngica sistêmica. Histoplasmose e outras infecções fúngicas invasivas são um risco para os pacientes e por esta razão o médico deve considerar o tratamento antifúngico empírico até que o patógeno seja identificado. O teste antígeno e anticorpo para histoplasmose pode ser negativo em alguns pacientes com infecção ativa. Quando possível, a decisão de administrar uma terapia antifúngica empírica nestes pacientes deve ser feita em conjunto com um médico especialista no diagnóstico e tratamento de infecções fúngicas invasivas e deve levar em consideração tanto o risco de uma infecção fúngica grave, como o risco da terapia antifúngica. Pacientes que desenvolvem uma infecção fúngica grave são também advertidos a interromper o uso de bloqueadores de TNF até que a infecção seja controlada.
Reativação da hepatite B - O uso de inibidores de TNF foi associado à reativação do vírus da hepatite B (HBV) em pacientes portadores crônicos deste vírus. Em alguns casos, a ocorrência da reativação do HBV concomitantemente à terapia com inibidores de TNF foi fatal. A maioria destes relatos ocorreu em pacientes que receberam concomitantemente outros medicamentos supressores do sistema imunológico, que também podem contribuir para a reativação do HBV. Pacientes com risco de contrair infecção por HBV devem ser avaliados, quanto à evidência prévia de infecção por HBV, antes do início da terapia com inibidores de TNF. Deve-se ter cautela ao administrar inibidores de TNF em pacientes portadores do vírus da hepatite B. Pacientes portadores do HBV e que requerem terapia com inibidores de TNF devem ser cuidadosamente monitorados quanto a sinais e sintomas da infecção ativa por HBV durante a terapia e por vários meses seguidos após o término da mesma. Não estão disponíveis dados de segurança e eficácia de pacientes portadores de HBV recebendo terapia antiviral concomitantemente à terapia com inibidores de TNF para prevenir a reativação do HBV. Em pacientes que desenvolvam a reativação do HBV, o uso de AMGEVITA deve ser suspenso e terapia antiviral adequada deve ser iniciada.
Eventos neurológicos - Os antagonistas de TNF, incluindo adalimumabe, foram associados, em raros casos, com nova manifestação ou exacerbação de sintomas clínicos e/ou evidência radiológica de doença desmielinizante do sistema nervoso central, incluindo esclerose múltipla, neurite óptica e doença desmielinizante periférica, incluindo Síndrome de Guillain Barré. Deve-se ter cautela ao considerar o uso de AMGEVITA em pacientes com doenças desmielinizantes do sistema nervoso periférico ou central, de início recente ou pré-existentes. A descontinuação do tratamento com AMGEVITA deve ser considerada na ocorrência de alguma destas desordens.
Existe uma associação conhecida entre a uveíte intermédiária e as doenças desmielinizantes do sistema nervoso central. A avaliação neurológica deve ser efetuada em pacientes que apresentem uveíte intermédiária não infecciosa antes do início do tratamento com AMGEVITA e regularmente durante o tratamento, para avaliação de doenças desmielinizantes do sistema nervoso central preexistentes ou em desenvolvimento.
Malignidades - Em partes controladas de estudos clínicos com antagonistas de TNF, foi observado maior número de casos de malignidades, incluindo linfoma, entre os pacientes que receberam antagonistas de TNF do que entre os pacientes controle. O tamanho do grupo de controle e a duração limitada das partes controladas dos estudos não permitem chegar a conclusões concretas. Além disso, há maior risco de linfoma em pacientes com artrite reumatoide com doença inflamatória de longa duração, altamente ativa, o que complica a estimativa do risco. Durante os estudos abertos de longa duração com Humira, a taxa total de malignidades foi similar ao que seria esperado para idade, sexo e raça na população geral. Com o conhecimento atual, um risco possível para o desenvolvimento dos linfomas ou outras malignidades nos pacientes tratados com um antagonista de TNF não pode ser excluído.
Malignidades, algumas fatais, foram relatadas entre crianças e adolescentes que foram tratados com agentes bloqueadores de TNF. Aproximadamente metade dos casos foram linfomas, incluindo linfomas de Hodgkin e não-Hodgkin. Os outros casos representam uma variedade de diferentes malignidades e incluem malignidades raras normalmente associadas à imunossupressão. As malignidades ocorreram em média em 30 meses de terapia. A maioria dos pacientes estava tomando concomitantemente imunossupressores. Os casos foram relatados após a comercialização e derivam de uma variedade de fontes incluindo registros e relatos espontâneos de pós-comercialização.
Casos muito raros de linfoma hepatoesplênico de células T, um raro e agressivo linfoma que é frequentemente fatal, foram identificados em pacientes recebendo adalimumabe. A maioria dos pacientes foi previamente tratada com infliximabe, e também recebeu terapia concomitante com azatioprina ou 6-mercaptopurina para doença inflamatória intestinal. O risco potencial com a combinação de azatioprina ou 6-mercaptopurina e adalimumabe deve ser cuidadosamente considerado. A associação causal entre este tipo de linfoma e adalimumabe não está clara.
Nenhum estudo foi conduzido incluindo pacientes com histórico de malignidade ou pacientes que continuaram o tratamento após o diagnóstico de malignidade durante o tratamento com adalimumabe. Assim, deve-se ter cautela adicional ao se considerar o tratamento com AMGEVITA nestes pacientes.
Todos os pacientes, em particular pacientes com histórico médico de extensa terapia imunossupressora ou pacientes com psoríase com histórico de tratamento com PUVA, devem ser examinados para a presença de câncer de pele não-melanoma antes e durante o tratamento com AMGEVITA.
Casos de leucemia aguda e crônica foram relatados em associação ao uso de agentes bloqueadores de TNF na pós-comercialização em artrite reumatoide e outras indicações. Pacientes com artrite reumatoide podem estar expostos a um risco maior (até 2 vezes) do que a população geral para o desenvolvimento de leucemia, mesmo na ausência de terapia de bloqueador de TNF.
Com os dados disponíveis no momento não é sabido se o tratamento com adalimumabe influencia o risco de desenvolvimento de displasia ou câncer de cólon. Todos os pacientes com colite ulcerativa ou retocolite ulcerativa que tem risco aumentado para displasias ou carcinoma de cólon (ex.: pacientes com colite ulcerativa ou retocolite ulcerativa de longa data ou colangite esclerosante primária), ou que tiveram uma história prévia de displasia ou carcinoma de cólon, devem ser examinados para displasia em intervalos regulares antes da terapia e durante o curso da patologia. Esta avaliação deve incluir colonoscopia e biópsias conforme recomendações locais.
Em um ensaio clínico exploratório realizado para avaliar o uso de um outro antagonista-TNF, infliximabe, em pacientes com doença pulmonar crónica obstrutiva (DPOC) moderada a grave, foram notificadas mais doenças malignas, principalmente nos pulmões ou, cabeça e pescoço, no grupo de pacientes tratados com infliximabe do que no grupo de pacientes controle. Todos os pacientes tinham antecedentes de tabagismo intenso. Assim, devem ser tomadas precauções quando for usado um antagonista de TNF em pacientes com DPOC, bem como em pacientes com risco aumentado de doenças malignas devido a tabagismo intenso.
Alergia - Durante estudos clínicos, reações alérgicas graves associadas ao uso de adalimumabe foram raramente observadas. Relatos de reações alérgicas graves, incluindo reação anafilática, foram recebidos após o uso de adalimumabe. Se uma reação anafilática ou outra reação alérgica grave ocorrer, a administração de AMGEVITA deve ser interrompida imediatamente e deve-se iniciar o tratamento apropriado.
Eventos hematológicos - Raros relatos de pancitopenia, incluindo anemia aplástica, foram observados com agentes bloqueadores de TNF. Eventos adversos do sistema hematológico, incluindo citopenia clinicamente significativa (ex.: trombocitopenia, leucopenia), foram relatados com adalimumabe. A relação causal destes relatos com adalimumabe é incerta. Todos os pacientes devem ser orientados a procurar atenção médica imediatamente caso desenvolvam os sinais e sintomas sugestivos de discrasias sanguíneas (ex.: febre persistente, contusões, sangramento, palidez) durante o uso de AMGEVITA. A descontinuação da terapia com AMGEVITA deve ser considerada em pacientes com anormalidades hematológicas significativas confirmadas.
Administração concomitante de DMARDs ou antagonista de TNF - Infecções graves foram observadas em estudos clínicos com o uso simultâneo de anacinra e outro antagonista de TNF, etanercepte, sem benefício clínico adicional comparado com etanercepte isoladamente. Considerando-se a natureza dos eventos adversos observados na terapia combinada de etanercepte e anacinra, toxicidades similares podem também resultar da combinação de anacinra e outros antagonistas de TNF. Portanto, a combinação de adalimumabe e anacinra não é recomendada. A administração concomitante de adalimumabe com outros DMARDs (ex.: anacinra e abatacepte) ou outros antagonistas de TNF não é recomendada com base na possibilidade de aumento do risco de infecções e outras interações farmacológicas potenciais.
Imunossupressão - Em um estudo de 64 pacientes com artrite reumatoide, tratados com Humira, não houve evidência de diminuição da hipersensibilidade do tipo retardada, diminuição dos níveis de imunoglobulinas ou alterações na contagem de células T, B e NK, monócitos/macrófagos e neutrófilos.
Imunizações - Em um estudo placebo-controlado, duplo-cego, randomizado, com 226 pacientes adultos com artrite reumatoide, tratados com Humira, foram avaliadas as respostas dos anticorpos a vacinas concomitantes de pneumococcos e influenza. Níveis protetores de anticorpos contra antígenos pneumocócicos foram atingidos em 86% dos pacientes no grupo de Humira comparados a 82% no grupo placebo. Um total de 37% dos indivíduos tratados com Humira e de 40% dos indivíduos em placebo atingiram aumento de pelo menos 2 vezes em pelo menos 3 dos 5 antígenos pneumocócicos. No mesmo estudo, 98% dos pacientes no grupo de Humira e 95% daqueles no grupo placebo atingiram níveis protetores de anticorpos contra antígenos do influenza. Um total de 52% dos indivíduos tratados com Humira e de 63% dos indivíduos em placebo alcançaram aumento de pelo menos 4 vezes em pelo menos 2 dos 3 antígenos do influenza.
Se possível, recomenda-se que os pacientes pediátricos estejam com todas as vacinas em dia de acordo com as recomendações locais, antes de iniciar o tratamento com AMGEVITA. Os pacientes em tratamento com AMGEVITA podem receber vacinações simultâneas, com exceção das vacinas vivas. Não há dados disponíveis quanto à transmissão secundária de infecções por vacinas vivas em pacientes recebendo adalimumabe.
Não é recomendado que crianças que foram expostas ao adalimumabe no útero da mãe, recebam vacinas vivas por até 5 meses após a última injeção de adalimumabe administrada na mãe, durante a gravidez.
Insuficiência cardíaca congestiva - O adalimumabe não foi formalmente estudado em pacientes com insuficiência cardíaca congestiva (ICC). Entretanto, em estudos clínicos com outro antagonista de TNF, uma taxa mais elevada de eventos adversos sérios relacionados a ICC foi relatada, incluindo piora da ICC e novo episódio de ICC. Casos de piora da ICC também foram relatados em pacientes recebendo adalimumabe.
AMGEVITA deve ser utilizado com precaução em pacientes com insuficiência cardíaca ligeira (classe I/II da NYHA). AMGEVITA está contraindicado na insuficiência cardíaca moderada a grave (ver Contraindicações). O tratamento com AMGEVITA deve ser interrompido em pacientes que desenvolvam novos sintomas ou agravamento dos sintomas de insuficiência cardíaca congestiva.
Processos auto-imunes - O tratamento com adalimumabe pode resultar na formação de anticorpos auto-imunes.
O impacto de um longo tratamento com adalimumabe no desenvolvimento de doenças auto-imunes é desconhecido.
Se um paciente desenvolver sintomas que sugiram síndrome lúpus-símile durante o tratamento com AMGEVITA, o tratamento deve ser descontinuado (vide Reações Adversas).
Cirurgia - A experiência existente, em termos de segurança de intervenções cirúrgicas em pacientes tratados com adalimumabe, é limitada. A meia-vida longa de adalimumabe deve ser levada em consideração se for planejada uma intervenção cirúrgica. Um paciente que requeira cirurgia durante o tratamento com AMGEVITA deve ser cuidadosamente monitorado para infeções, e devem ser tomadas ações apropriadas.
Capacidade de dirigir veículos e operar máquinas- AMGEVITA pode ter uma pequena influência na capacidade de dirigir veículos e operar máquinas. Após a administração de AMGEVITA podem ocorrer vertigens e distúrbios visuais (ver Reações Adversas).
Cuidados e advertências para populações especiais:
Uso em idosos
- A frequência de infecções graves entre pacientes com mais de 65 anos de idade tratados com Humira foi maior do que para os pacientes com menos de 65 anos de idade. Do número total de pacientes no estudo clínico de Humira, 9,4% tinham 65 anos de idade ou mais, enquanto cerca de 2,0% tinham 75 anos ou mais. Não foram observadas diferenças em termos de eficácia entre essa população e a de indivíduos mais jovens. Não é necessário ajuste de dose para esta população. Devido a uma maior incidência de infecções na população idosa geral, deve-se ter cautela quando do tratamento de pacientes idosos.
Uso pediátrico - O adalimumabe não foi estudado em crianças com menos de 2 anos de idade. A segurança e eficácia do medicamento em pacientes pediátricos não foram estabelecidas para outras indicações além da artrite idiopática juvenil (artrite idiopática juvenilpoliarticular, e artrite relacionada à entesite) e doença de Crohn.
Uso na gravidez - Foi realizado um estudo de toxicidade embrio-fetal perinatal em macacos Cynomolgus com doses de até 100 mg/kg (que implica em AUC 373 vezes maior com dose de 40 mg SC). Os resultados não revelaram evidências de danos fetais decorrentes do adalimumabe.
Em um estudo prospectivo coorte de exposição à gravidez, 257 mulheres com Artrite Reumatoide (AR) ou Doença de Crohn (DC) tratadas com Humira, pelo menos durante o primeiro trimestre e 120 mulheres com AR ou DC não tratadas com adalimumabe foram avaliados.
Não houve diferenças significativas nas taxas globais para o desfecho primário de defeitos congênitos maiores (Razão de Odds ajustada de 0,84, Intervalo de Confiança (IC) de 95% 0,34, 2,05) assim como o desfecho secundário, o qual incluiu defeitos congênitos menores, aborto espontâneo, parto prematuro, baixo peso no nascimento e infecções graves ou oportunistas. Não foram notificados natimortos ou neoplasias malignas. Embora o registro tenha limitações metodológicas, incluindo o tamanho de amostra pequeno e um desenho de estudo não randomizado, os dados não mostram risco aumentado de resultados adversos de gravidez em mulheres com AR ou DC tratadas com adalimumabe em comparação com mulheres com AR ou DC não expostas ao adalimumabe. Além disso, os dados da vigilância pós-comercialização não estabelecem a presença de um risco associado à droga.
O adalimumabe pode atravessar a placenta e entrar em contato com recém-nascidos de mulheres tratadas com o produto durante a gravidez Consequentemente, estas crianças podem estar sob risco de infecção aumentado. A administração de vacinas vivas em recém-nascidos expostos ao adalimumabe no útero não é recomendada por 5 meses após a última injeção de adalimumabe na mãe durante a gravidez.
Mulheres em idade reprodutiva devem ser advertidas a não engravidar durante o tratamento com AMGEVITA.
Categoria B para gravidez - Este medicamento não deve ser utilizado por mulheres grávidas sem orientação médica ou do cirurgião-dentista.
Trabalho de parto ou nascimento
- Não existem efeitos conhecidos de adalimumabe sobre o trabalho de parto ou no nascimento.
Uso na lactação - Informações limitadas na literatura indicam que o adalimumabe é excretado no leite humano em concentrações muito baixas.A presença de adalimumabe no leite humano ocorre em concentrações de 0,1% a 1% em soro materno. As imunoglobulinas G ingeridas oralmente sofrem proteólise intestinal e têm baixa biodisponibilidade, os efeitos sistêmicos do adalimumabe em uma criança lactente são improváveis. Os benefícios para o desenvolvimento e para a saúde provenientes da amamentação devem ser considerados juntamente à necessidade clínica da mãe de utilizar o AMGEVITA. Devem ser considerados também quaisquer efeitos adversos potenciais sobre a criança lactente a partir de adalimumabe ou a condição materna subjacente.
Insuficiência renal e hepática - Não há dados disponíveis sobre o metabolismo do medicamento em pacientes com insuficiência renal ou hepática.
Dados de segurança pré-clínicos - Os dados pré-clínicos não revelaram risco especial para humanos, com base em estudos de toxicidade de dose única, toxicidade de dose repetida, e genotoxicidade.
Carcinogenicidade, mutagenicidade e alterações na fertilidade - Não foram realizados estudos experimentais de longo prazo para avaliar o potencial carcinogênico ou os efeitos do adalimumabe sobre a fertilidade.
Não foram observados efeitos clastogênicos ou mutagênicos do adalimumabe nos testes em micronúcleos de camundongos in vivo, ou no teste de AMES com Salmonella e Escherichia coli.

6. INTERAÇÕES MEDICAMENTOSAS
Metotrexato -
Quando Humira foi administrado a 21 pacientes sob terapia estável com metotrexato, não houve alteração estatisticamente significante no perfil da concentração plasmática de metotrexato. Em contraste, após dose única e dose múltipla, o metotrexato reduziu a depuração aparente de adalimumabe para 29% e 44%, respectivamente. No entanto, os dados não sugerem a necessidade de
ajuste de dose de nenhum dos dois medicamentos.
Outras - Não foram realizados estudos formais de farmacocinética entre adalimumabe e outras substâncias. O uso concomitante de AMGEVITA com outros DMARDs (ex.: anacinra e abatacepte) não é recomendado. Vacinas vivas não devem ser administradas concomitantemente a AMGEVITA. Nos estudos clínicos, não foram observadas interações quando Humira foi administrado concomitantemente a DMARDs (sulfassalazina, hidroxicloroquina leflunomida e ouro parenteral), glicocorticoides, salicilatos, anti-inflamatórios não esteroidais ou analgésicos.
Interação com testes laboratoriais - Não são conhecidas interferências entre adalimumabe e testes laboratoriais.

7. CUIDADOS DE ARMAZENAMENTO DO MEDICAMENTO
AMGEVITA deve ser mantido em sua embalagem original e armazenado entre 2°C e 8°C (no refrigerador). Não congelar.
Prazo de validade - Se armazenado nas condições indicadas, o medicamento se manterá próprio para consumo pelo prazo de validade de 36 meses, a partir da data de fabricação.
Uma seringa preenchida ou caneta preenchida de AMGEVITA pode ser armazenada em temperaturas de no máximo 30°C por um período de até 7 dias. A seringa preenchida ou caneta preenchida deve ser protegida da luz, e descartada se não utilizada dentro do período de 7 dias.
Número de lote e datas de fabricação e validade: vide embalagem.
Não use medicamento com o prazo de validade vencido. Guarde-o em sua embalagem original.
Características físicas e organolépticas -
AMGEVITA é fornecido sob a forma de solução estéril, livre de conservantes, para administração subcutânea. A solução de AMGEVITA é límpida e incolor, com um pH de 5,2.
Antes de usar, observe o aspecto do medicamento.
Todo medicamento deve ser mantido fora do alcance das crianças.

8. POSOLOGIA E MODO DE USAR
AMGEVITA deve ser utilizado sob a orientação e supervisão de um médico ou profissional habilitado. O paciente e/ou seu responsável devem receber treinamento adequado para o correto manuseio do produto no momento da aplicação.
Os pacientes podem se auto-aplicar se o médico considerar apropriado e sob orientação médica, conforme necessário, após treinamento adequado do paciente na técnica de injeção subcutânea. Os locais da auto-aplicação localizam-se na coxa ou no abdômen. Os locais de injeção devem ser alternados a cada aplicação. As novas injeções nunca devem ser administradas em áreas onde a pele estiver sensível, ferida, avermelhada ou áspera. Soluções injetáveis devem ser inspecionadas visualmente para verificar a presença de partículas ou alterações de coloração antes de serem administradas, sempre que o recipiente permitir. Se partículas ou descoloração forem observadas, o produto não deve ser utilizado. AMGEVITA não contém conservantes e, portanto, o material não utilizado que permanecer na seringa deve ser adequadamente descartado. AMGEVITA não deve ser misturado na mesma seringa com qualquer outro medicamento.
Posologia
AMGEVITA é um medicamento de uso crônico e a duração do tratamento será de acordo com cada paciente. O limite máximo diário de administração de adalimumabe não foi determinado em humanos.
Artrite reumatoide em pacientes adultos
A dose recomendada de AMGEVITA para pacientes adultos é de 40 mg de solução injetável, administrados em dose única por via subcutânea, a cada 14 dias. O tratamento com metotrexato, glicocorticoides, salicilatos, anti-inflamatórios não esteroidais, analgésicos ou outros DMARDs pode ser mantido durante o tratamento com AMGEVITA.
Alguns pacientes, não tratados concomitantemente com metotrexato, podem obter benefício adicional com o aumento da frequência da administração de AMGEVITA para 40 mg de solução injetável uma vez por semana.
Os dados clínicos disponíveis para artrite reumatoide sugerem que a resposta clinica normalmente é alcançada dentro de 12 semanas de tratamento. A continuação da terapia deve ser cuidadosamente reconsiderada se um paciente não responder ao tratamento dentro deste período.
Artrite psoriasica em pacientes adultos
A dose recomendada de AMGEVITA para pacientes adultos é de 40 mg de solução injetável, administrados em dose única por via subcutânea, a cada 14 dias. O tratamento com metotrexato, glicocorticoides, salicilatos, anti-inflamatórios não esteroidais, analgésicos ou outros DMARDs pode ser mantido durante o tratamento com AMGEVITA.
Espondiloartrite axial (espondilite anquilosante e espondiloartrite axial não radiográfica) em pacientes adultos
A dose recomendada de AMGEVITA para pacientes adultos é de 40 mg de solução injetável, administrados em dose única por via subcutânea, a cada 14 dias. O tratamento com metotrexato, glicocorticoides, salicilatos, anti-inflamatórios não esteroidais, analgésicos ou outros DMARDs pode ser mantido durante o tratamento com AMGEVITA.
Os dados disponíveis sugerem que a resposta clinica é geralmente obtida após 12 semanas de tratamento. A continuação do tratamento deve ser cuidadosamente reconsiderada quando o paciente não responder durante este período de tempo.
Doença de Crohn em pacientes adultos
A dose recomendada de AMGEVITA para pacientes adultos com doença de Crohn é:
- Início do tratamento - semana 0: 160 mg por via subcutânea (a dose pode ser administrada em quatro injeções em um dia ou duas injeções por dia por dois dias consecutivos); semana 2: 80 mg por via subcutânea (a dose deve ser administrada em duas injeções no mesmo dia);
- Manutenção do tratamento: a partir da semana 4, 40 mg a cada 14 dias por via subcutânea.
O tratamento com corticosteroides, aminosalicilatos e/ou agentes imunomoduladores (6-mercaptopurina e azatioprina) pode ser mantido durante o tratamento com AMGEVITA.
Alguns pacientes podem necessitar de um aumento na frequência da dose de manutenção de AMGEVITA para 40 mg de solução injetável por semana.
Os pacientes que não responderem ao tratamento até a semana 4 podem continuar com a manutenção do tratamento até a semana 12. Se não houver resposta neste período, a continuação da terapia deve ser cuidadosamente reconsiderada.
Durante a manutenção do tratamento, corticosteroides podem ser reduzidos em conformidade as diretrizes de prática clínica.
Colite ulcerativa ou retocolite ulcerativa em pacientes adultos
A dose de indução recomendada de AMGEVITA para pacientes adultos com colite ulcerativa ou retocolite ulcerativa ativa moderada a grave é:
- Início do tratamento - semana 0: 160 mg por via subcutânea (a dose pode ser administrada em quatro injeções em um dia ou duas injeções por dia por dois dias consecutivos); semana 2: 80 mg por via subcutânea (a dose deve ser administrada em duas injeções no mesmo dia);
- Manutenção do tratamento: 40 mg a cada 14 dias por via subcutânea. O tratamento com aminosalicilatos, corticosteroides e/ou agentes imunomoduladores (6-mercaptopurina e azatioprina) pode ser mantido durante o tratamento com AMGEVITA.
Durante a manutenção do tratamento, corticosteroides podem ser reduzidos em conformidade as diretrizes de prática clínica.
Alguns pacientes que sofreram diminuição na resposta podem se beneficiar com um aumento na frequência da dose de manutenção de AMGEVITA para 40 mg de solução injetável por semana.
Dados disponíveis sugerem que a resposta clinica é normalmente alcançada entre 2 a 8 semanas de tratamento. AMGEVITA só deve ser mantido em pacientes que tiveram resposta nas primeiras 8 semanas da tratamento.
Psoríase em placas em pacientes adultos
A dose inicial recomendada de AMGEVITA em pacientes adultos é de 80 mg administrada por via subcutânea, seguida de 40 mg em semanas alternadas, uma semana após a dose inicial.
Uma terapia continuada para além de 16 semanas, deve ser cuidadosamente reconsiderada em pacientes que não responderam dentro deste período de tempo. Após 16 semanas de tratamento, os pacientes que não apresentem uma resposta adequada podem se beneficiar de um aumento da frequência de dose para 40 mg por semana. Os benefícios e riscos do tratamento continuado com AMGEVITA semanal deverão ser cuidadosamente considerados em pacientes com uma resposta inadequada após o aumento da frequência de dose. Se for obtida uma resposta adequada com o aumento da frequência de dose, esta pode ser reduzida, subsequentemente, para 40 mg em semanas alternadas.
Hidradenite supurativa em pacientes adultos
O esquema posológico recomendado de AMGEVITA para pacientes adultos com hidradenite supurativa (HS) é de 160 mg inicialmente, no Dia 1 (administrado em quatro injeções de 40 mg em um dia OU em duas injeções de 40 mg por dia durante dois dias consecutivos), seguida de 80 mg duas semanas depois, no Dia 15 (administrado em duas injeções de 40 mg em um dia). Duas semanas depois (Dia 29) continuar com uma dose de 40 mg por semana.
Caso necessário, o uso de antibióticos pode ser continuado durante o tratamento com AMGEVITA. No caso de interrupção do tratamento, AMGEVITA pode ser reintroduzido. Em pacientes sem qualquer benefício após 12 semanas de tratamento, a continuação da terapia deve ser reconsiderada.
Uveíte em pacientes adultos
A posologia recomendada de AMGEVITA para pacientes adultos com uveíte é de uma dose inicial de 80 mg, por via subcutânea, seguida de doses de 40 mg de solução injetável por via subcutânea administradas em semanas alternadas, começando na semana seguinte à dose inicial.
AMGEVITA pode ser administrado sozinho ou em combinação com corticoides, que podem ser ajustados de acordo com as práticas clínicas, ou outros agentes imunomoduladores não biológicos.
População pediátrica
AMGEVITA está disponível em seringas preenchidas com 20 mg e 40 mg e caneta preenchida com 40 mg. Não é possível administrar AMGEVITA em pacientes pediátricos que requerem menos que uma dose inteira de 20 mg ou 40 mg. Se uma dose alternativa é requerida, outros produtos de adalimumabe que oferecem essa opção devem ser utilizados.
Artrite idiopática juvenil poliarticular em pacientes pediátricos
Pacientes de 2 a 12 anos
A dose recomendada de AMGEVITA para pacientes com artrite idiopática juvenil poliarticular com idade entre 2 a 12 anos é de 24 mg/m2 de área de superfície corporal, até uma dose única máxima de 20 mg de adalimumabe (para pacientes com idade entre 2 a < 4 anos) e 40 mg de adalimumabe (para pacientes entre 04 e 12 anos), administrados por via subcutânea a cada 14 dias. O volume da administração é selecionado baseando-se na altura e peso do paciente (Tabela 30).

Pacientes acima de 13 anos
A dose recomendada de AMGEVITA para esses adolescentes com idade superior a 13 anos é de 40 mg solução injetável, administrados em dose única por via subcutânea, a cada 14 dias, independente de sua superfície corporal.
Os dados disponíveis sugerem que a resposta clinica é geralmente alcançada com 12 semanas de tratamento. A continuação do tratamento deve ser cuidadosamente reconsiderada em pacientes que não responderam dentro deste período de tempo.
Não há relevância no uso de adalimumabe em crianças menores de 2 anos de idade para esta indicação.
Artrite relacionada à entesite em pacientes pediátricos
A dose recomendada de AMGEVITA para pacientes pediátricos acima de 6 anos com artrite relacionada à entesite é de 24 mg/m2 de solução injetável de área de superfície corporal até um máximo de 40 mg de adalimumabe, administrados em dose única por via subcutânea, a cada 14 dias. O volume por injeção é selecionado baseando-se na altura e peso do paciente (Tabela 30).
O adalimumabe não foi estudado em crianças com artrite relacionada à entesite com idade menor que 6 anos
Doença de Crohn em pacientes pediátricos
A dose recomendada de AMGEVITA para pacientes pediátricos com 6 anos ou mais com doença de Crohn é:
Pacientes com doença de Crohn ativa de intensidade grave e peso corporal menor que 40 kg - A dose inicial (Dia 1) é 80 mg por via subcutânea (duas injeções de 40 mg em um dia), seguidas por 40 mg após duas semanas (Dia 15). A dose de manutenção de 20 mg por via subcutânea a cada 14 dias inicia-se após duas semanas (Dia 29).
Pacientes com peso corporal maior que 40 kg - A dose inicial (Dia 1) e 160 mg por via subcutânea (quatro injeções de 40 mg em um dia ou duas injeções por dia por dois dias consecutivos), seguidas por 80 mg após duas semanas (Dia 15). A dose de manutenção inicia-se após duas semanas (Dia 29), conforme demonstrado a seguir:
- para doença de Crohn ativa com intensidade grave: 40 mg por via subcutânea, a cada 14 dias.
- para doença de Crohn ativa com intensidade moderada: 20 mg por via subcutânea, a cada 14 dias.
Alguns pacientes podem beneficiar-se com um aumento na frequência da dose de manutenção de AMGEVITA para uma dose por semana se houver um agravamento da doença ou para pacientes que obtiveram uma resposta inadequada durante a dose de manutenção.
O adalimumabe não foi estudado em crianças com doença de Crohn com idade menor que 6 anos.
Uveíte pediátrica
A posologia recomendada de AMGEVITA para pacientes com uveíte não infecciosa anterior crônica, com 2 anos de idade ou mais, baseia-se no peso, como é mostrado na tabela a seguir.
AMGEVITA deve ser administrado por injeção subcutânea. AMGEVITA pode ser disponibilizado em diferentes concentrações e/ou apresentações dependendo das necessidades de tratamentos individuais.
Na uveíte pediátrica, não existe experiência de utilização de adalimumabe sem tratamento concomitante com metotrexato.

Quando se inicia o tratamento com AMGEVITA, pode ser considerada a administração de uma dose de ataque de 40 mg para pacientes com < 30 Kg ou 80 mg para pacientes com > 30 Kg, uma semana antes do início do tratamento de manutenção. Não existem dados clínicos relevantes sobre a utilização de uma dose de ataque de adalimumabe em crianças < 6 anos de idade.
Não existe dados clínicos relevantes de adalimumabe em crianças com menos de 2 anos de idade nesta indicação.
Recomenda-se que o risco benefício do tratamento continuado a longo prazo seja avaliado anualmente pelo médico especialista.

Importante
Antes de usar uma seringa preenchida de AMGEVITA, leia essas informações importantes:
Armazenamento das seringas preenchidas de AMGEVITA
• Mantenha a seringa preenchida de AMGEVITA fora do alcance das crianças.
• Mantenha a seringa preenchida de AMGEVITA dentro da embalagem original, a fim de protegê-la da luz ou de danos físicos.
• A seringa preenchida de AMGEVITA deve ser mantida no refrigerador (2°C a 8°C).
• Se necessário, você pode armazenar a seringa preenchida AMGEVITA em temperaturas de até 30°C por um período de até 7 dias. Jogue fora qualquer AMGEVITA que foi armazenado a temperaturas de no máximo 30°C depois de 7 dias.
Não armazene a seringa preenchida de AMGEVITA em ambientes extremamente quentes ou frios. Por exemplo, evite armazená-lo no porta-luvas ou porta-malas do seu carro.
Não congelar.
Uso das seringas preenchidas de AMGEVITA
Não use a seringa preenchida de AMGEVITA após o prazo de validade indicado no rótulo.
Não agite a seringa preenchida de AMGEVITA.
Não remova a tampa da agulha da seringa preenchida de AMGEVITA até que você esteja pronto para aplicar.
Não use a seringa preenchida de AMGEVITA se tiver sido congelada.
Não use a seringa preenchida de AMGEVITA se ela tiver caído em uma superfície dura. Parte da seringa preenchida de AMGEVITA pode estar quebrada, mesmo que não seja possível ver. Use uma nova seringa preenchida de AMGEVITA.
Etapa 1: Preparo
A
Remova da embalagem a quantidade de seringas preenchidas de AMGEVITA que você precisa. Segure o corpo da seringa para removê-la da cartela.

Guarde a embalagem original com as seringas preenchidas não utilizadas de volta no refrigerador.
Por razões de segurança:
Não segure a haste do êmbolo.
Não segure a tampa da agulha.
Não remova a tampa da agulha até que você esteja pronto para aplicar.
Não remova o suporte para os dedos. Ele é parte da seringa preenchida.
Para uma injeção mais confortável, deixe a seringa preenchida fora do refrigerador, em uma temperatura de até 30°C, por 15 a 30 minutos antes da aplicação.
Não coloque a seringa preenchida de volta no refrigerador depois que tiver atingido uma temperatura máxima de 30°C.
Não tente aquecer a seringa preenchida usando uma fonte de calor, como água quente ou micro-ondas.
Não deixe a seringa preenchida exposta à luz do sol direta.
Não agite a seringa preenchida.
Importante: Sempre segure a seringa preenchida pelo corpo da seringa.
B Inspecione a seringa preenchida de AMGEVITA.

Sempre segure a seringa preenchida pelo corpo da seringa.
Assegure-se que o medicamento na seringa preenchida seja transparente e incolor ou ligeiramente amarelo.
Não use a seringa preenchida se:
- O medicamento estiver turvo ou descolorido ou contenha flocos, ou partículas. - Alguma parte parecer rachada ou quebrada.
- A tampa da agulha estiver ausente ou fixada de forma insegura.
- A data de validade impressa no rótulo tiver expirado.
Em todos estes casos, use uma nova seringa preenchida.
C Reúna todos os materiais necessários para a injeção(ões).
Lave bem as mãos com sabão e água.
• A nova seringa preenchida
• Lenços umedecidos com álcool
• Algodão ou gaze
• Curativo adesivo
• Recipiente para descarte de objetos cortantes

D Preparar e limpar o(s) local(is) de injeção.

Você pode usar:
• Sua coxa
• Área do estômago (abdômen), exceto 5 centímetros em torno do umbigo
Limpe o local da injeção com o lenço umedecido com álcool. Deixe a pele secar.
Não toque a área novamente antes de aplicar a injeção.
• Caso queira usar o mesmo local da injeção, assegure-se de que não será no mesmo ponto utilizado na injeção anterior.
- Não aplique as injeções em áreas onde a pele está sensível, machucada, vermelha ou rígida. Evite aplicar a injeção em áreas com cicatrizes ou estrias.
• Se você tem psoríase, deve evitar aplicar a injeção diretamente onde a pele está levantada, espessa, vermelha, escamosa ou lesionada.
Etapa 2: Início
E
Remova a tampa da agulha quanto você estiver pronto para aplicar.

É normal ver uma gota do medicamento na ponta da agulha.
Não gire ou dobre a tampa da agulha.
Não coloque a tampa da agulha de volta na seringa preenchida.
Não remova a tampa da agulha da seringa preenchida até que você esteja pronto para aplicar.
Importante: Jogue a tampa da agulha no recipiente para descarte de objetos cortantes fornecido.
F Faça uma prega no local da injeção para criar uma superfície firme.

Faça uma prega firme na pele com o polegar e os demais dedos, criando uma área de cerca de 5 centímetros de largura.
Importante: Mantenha a prega cutânea durante a injeção.
Etapa 3: Injeção
G
Segure a prega cutânea. Com a tampa da agulha retirada, insira a agulha na pele em um ângulo de 45 a 90 graus.

Não coloque seu dedo sobre o êmbolo enquanto estiver introduzindo a agulha.
H Fazendo pressão lenta e constante, empurre o êmbolo até o final, até parar de se mover.

I Quando terminar, solte o polegar, e cuidadosamente retire a seringa da pele.

Etapa 4: Finalização
J
Descarte a seringa preenchida e a tampa da agulha.

Não reutilize a seringa preenchida usada.
Não utilize nenhum medicamento que possa sobrar na seringa preenchida usada.
• Coloque a seringa preenchida de AMGEVITA no recipiente para descarte de objetos cortantes logo depois de usar. Não jogue (descarte) a seringa preenchida em lixo doméstico.
• Caso não tenha um recipiente de descarte para objetos cortantes, você pode usar um recipiente que seja:
- feito de plástico resistente,
- possa ser fechado com uma tampa apertada, resistente a perfurações, sem a possibilidade de ser furado por materiais afiados,
- vertical e estável durante o uso,
- resistente a vazamentos, e
- devidamente rotulado para avisar sobre resíduos perigosos dentro do recipiente.
• Converse com seu médico ou farmacêutico sobre o descarte adequado do seu recipiente para descarte de objetos cortantes.
Não reutilize a seringa preenchida.
Não recicle a seringa preenchida ou o recipiente para descarte de objetos cortantes, nem os jogue em lixo doméstico.
Importante: Mantenha o recipiente para descarte de objetos cortantes fora do alcance das crianças.
K Examine o local da injeção.
Caso haja sangue, pressione algodão ou gaze sobre o local da injeção. Não esfregue o local da injeção. Utilize um curativo adesivo, se necessário.

Importante
Antes de usar uma caneta preenchida de AMGEVITA, leia essas informações importantes:
Armazenamento das canetas preenchidas de AMGEVITA
• Mantenha a caneta preenchida de AMGEVITA fora do alcance das crianças.
• Mantenha a caneta preenchida de AMGEVITA dentro da embalagem original, a fim de protegê-la da luz ou de danos físicos.
• A caneta preenchida de AMGEVITA deve ser armazenada no refrigerador (2°C a 8°C).
• Se necessário, é possível armazenar a caneta preenchida de AMGEVITA em temperaturas de até 30°C por um período de até 7 dias. Jogue fora qualquer AMGEVITA que foi armazenado a temperaturas de no máximo 30°C depois de 7 dias.
Não armazene a caneta preenchida de AMGEVITA em ambientes extremamente quentes ou frios. Por exemplo, evite armazená-lo no porta-luvas ou porta-malas do seu carro.
Não congelar.
Uso das canetas preenchidas de AMGEVITA
Não use a caneta preenchida de AMGEVITA com o prazo de validade indicado no rótulo vencido.
Não agite a caneta preenchida de AMGEVITA.
Não remova a tampa amarela da caneta preenchida de AMGEVITA até que você esteja pronto para aplicar.
Não use a caneta preenchida de AMGEVITA se tiver sido congelada.
Não use a caneta preenchida de AMGEVITA se tiver caído em uma superfície dura. Parte da caneta preenchida de AMGEVITA pode estar quebrada, mesmo que não seja possível ver. Use uma nova caneta preenchida de AMGEVITA.
• Esse produto contém borracha natural seca, que é feita a partir de látex, dentro da tampa amarela.
Etapa 1: Preparo
A
Retire uma caneta preenchida de AMGEVITA da embalagem.
Retire com cuidado a caneta preenchida de dentro da caixa.
Guarde a embalagem original com as canetas preenchidas não utilizadas de volta no refrigerador.
Para uma injeção mais confortável, deixe a caneta preenchida fora do refrigerador, em uma temperatura de até 30°C, por 15 a 30 minutos antes de aplicar.
Não coloque a caneta preenchida de volta no refrigerador depois que tiver atingido uma temperatura máxima de 30°C.
Não tente aquecer a caneta preenchida usando uma fonte de calor, como água quente ou micro-ondas.
Não agite a caneta preenchida.
Não remova a tampa amarela da caneta preenchida ainda.
B Inspecione a caneta preenchida de AMGEVITA.

Certifique-se de que o medicamento na janela esteja transparente e incolor a levemente amarelo.
Não utilize a caneta se:
- O medicamento estiver turvo ou descolorido ou contenha flocos ou partículas. - Alguma parte parecer rachada ou quebrada.
- A caneta preenchida tiver caído.
- A tampa amarela estiver ausente ou fixada de forma insegura.
- A data de validade impressa no rótulo tiver expirado.
C Reúna todos os materiais necessários para injeção.
Lave bem as mãos com sabão e água.
Em uma superfície bem iluminada, coloque:
• A nova caneta preenchida
• Lenços umedecidos com álcool
• Algodão ou gaze
• Curativo adesivo
• Recipiente para descarte de objetos cortantes

D Preparar e limpar o local da injeção.

Você pode usar:
• Sua coxa
• Área do estômago (abdômen), exceto 5 centímetros em torno do umbigo.
Limpe o local da injeção com o lenço umedecido com álcool. Deixe a pele secar.
Não toque a área novamente antes de aplicar a injeção.
• Caso queira usar o mesmo local da injeção, assegure-se de que não será no mesmo ponto utilizado na injeção anterior.
Não aplique as injeções em áreas onde a pele está sensível, machucada, vermelha ou rígida. Evite aplicar a injeção em áreas com cicatrizes ou estrias.
• Se você tem psoríase, deve evitar aplicar a injeção diretamente onde a pele está levantada, espessa, vermelha, escamosa ou lesionada.
Etapa 2: Início
E
Remova a tampa amarela quando você estiver pronto para aplicar.

É normal ver uma gota do medicamento na ponta da agulha ou do protetor amarelo de segurança.
Não torça ou dobre a tampa amarela.
Não coloque a tampa amarela de volta na caneta preenchida.
Não remova a tampa amarela da caneta preenchida até que esteja pronto para injetar.
F Estique ou faça uma prega cutânea no local de injeção para criar uma superfície firme.

Estique a pele firmemente movendo o polegar e os outros dedos em direções opostas, e criando uma área de cerca de 5 centímetros de largura.
OU

Faça uma prega na pele com o polegar e os demais dedos, criando uma área de cerca de 5 centímetros de largura.
Importante: Mantenha a pele esticada ou a prega cutânea durante a injeção.
Etapa 3: Injeção
G
Segure a área esticada ou a prega cutânea. Após retirar a tampa amarela, coloque a caneta na pele em um ângulo de 90 graus.

Importante: Não toque no botão azul de aplicação ainda.
H Empurre a caneta firmemente para baixo contra a pele até que pare de se mover.

Importante: Você deve apertar para baixo até o fim, mas não toque no botão azul de início até que você esteja pronto para injetar.
I Quando estiver pronto para injetar, pressione o botão azul de aplicação.

J Continue apertando para baixo na pele. A injeção pode levar cerca de 10 segundos

Importante: Quando você remover a caneta preenchida, caso a janela não tenha ficado amarela, ou se parecer que o medicamento ainda está sendo injetado, significa que você não recebeu uma dose completa.
Etapa 4: Finalização
K
Descarte a caneta preenchida usada e a tampa amarela.

• Coloque a caneta preenchida no recipiente para descarte de objetos cortantes logo depois de usar. Não jogue (descarte) a seringa preenchida em lixo doméstico.
• Caso não tenha um recipiente de descarte para objetos cortantes, você pode usar um recipiente que seja:
- feito de plástico resistente,
- possa ser fechado com uma tampa apertada e resistente a perfurações, sem a possibilidade de ser furado por materiais afiados,
- vertical e estável durante o uso,
- resistente a vazamentos, e
- devidamente rotulado para avisar sobre resíduos perigosos dentro do recipiente.
• Converse com seu médico ou farmacêutico sobre o descarte adequado do seu recipiente para descarte de objetos cortantes. Poderá haver guias locais para descarte.
Não reutilize a seringa preenchida.
Não recicle a seringa preenchida ou o recipiente para descarte de objetos cortantes, nem os jogue em lixo doméstico.
Importante: Mantenha o recipiente de descarte de objetos cortantes fora do alcance das crianças.
L Examine o local da injeção.
Caso haja sangue, pressione algodão ou gaze sobre o local da injeção. Não esfregue o local da injeção. Utilize um curativo adesivo, se necessário.
Perguntas frequentes
O que acontece se eu pressionar o botão azul de aplicação antes de estar pronto para aplicar a injeção na pele?
Mesmo que você pressione o botão azul de aplicação, a injeção só será liberada quando o dispositivo de segurança amarelo também for pressionado dentro da caneta preenchida.
Posso mover a caneta preenchida em torno da pele quando estiver escolhendo um local para a injeção?
Não há problema em mover a caneta preenchida pela pele em busca de um local para a injeção, contanto que você não pressione o botão azul de aplicação. No entanto, caso você pressione o botão azul e o dispositivo de segurança amarelo também estiver pressionado dentro da caneta preenchida, a injeção será iniciada.
Posso soltar o botão azul de aplicação quando a injeção começar?
Você pode soltar o botão azul, mas deve continuar a segurar a caneta preenchida firmemente contra a pele durante a injeção.
O botão azul vai voltar a sua posição inicial quando eu retirar o polegar?
O botão azul pode não retornar à posição inicial depois que você retirar o polegar se você tiver segurado o polegar para baixo durante a injeção. Isso é normal.
O que eu faço se não ouvir o "clique" depois de pressionar o dispositivo contra a pele por 10 segundos?
Se você não ouvir o "clique", pode confirmar a conclusão da injeção pela janela na caneta, que deve ter ficado amarela.
Com quem eu falo quando precisar de ajuda com a caneta preenchida ou com a injeção?
Caso tenha perguntas sobre a caneta preenchida, seu armazenamento, ou sobre a injeção, entre em contato pelo telefone 0800 264 0800 para obter ajuda.

9. REAÇÕES ADVERSAS
Reações adversas nos estudos clínicos
Dados de Humira
Humira foi estudado em 9.506 pacientes em estudos principais, abertos e controlados por até 60 meses ou mais. Estes estudos foram realizados em pacientes que utilizaram o produto comparador Humira.
Os estudos controlados envolveram 6.089 pacientes recebendo Humira e 3.801 pacientes recebendo placebo ou comparador ativo durante o período de controle. A proporção de pacientes que interrompeu o tratamento devido a reações adversas, durante a parte duplo-cega e controlada dos estudos clínicos de Humira foi de 5,9% para os pacientes tratados com Humira, e de 5,4% para os pacientes controle.
Aproximadamente 13% dos pacientes podem esperar algum tipo de reação no local da injeção, considerado um dos eventos adversos mais comuns com adalimumabe em estudos clínicos controlados.
As reações adversas possivelmente relacionadas ao tratamento com Humira em estudos clínicos são apresentadas a seguir por órgão de sistema e por frequência (muito comum ≥ 1/10; comum ≥ 1/100 a < 1/10; incomum ≥ 1/1.000 a < 1/100; raro ≥ 1/10.000 a < 1/1.000).
Infestações e infecções*
Reação muito comum (≥ 1/10): infecções no trato respiratório (incluindo infecções do trato respiratório inferior e superior, pneumonia, sinusite, faringite, nasofaringite e pneumonia por herpes viral).
Reação comum (≥ 1/100 e < 1/10): infecções sistêmicas (incluindo sepse, candidíase e influenza), infecções intestinais (incluindo gastroenterite viral), infecções de pele e tecidos moles (incluindo paroníquia, celulite, impetigo, fasciíte necrosante e herpes zoster), infecções de ouvido, infecções orais (incluindo herpes simples, herpes oral e infecção dentária), infecções do trato reprodutivo (incluindo infecção vulvo vaginal micótica), infecção do trato urinário (incluindo pielonefrite), infecções fúngicas e infecções articulares.
Reação incomum (≥ 1/1.000 e < 1/100): infecções oportunistas e tuberculose (incluindo coccidioidomicose, histoplasmose e infecção por complexo Mycobacterium avium), infecções neurológicas (incluindo meningite viral), infecções dos olhos e infecções bacterianas.
Neoplasias benignas, malignas e inespecíficas (incluindo cistos e pólipos)*
Reação comum
(≥ 1/100 e < 1/10): neoplasia benigna, câncer de pele não melanoma (incluindo carcinoma de pele basocelular e carcinoma de pele de células escamosas).
Reação incomum (≥ 1/1.000 e < 1/100): linfoma**, neoplasia de órgãos sólidos (incluindo câncer de mamas, pulmonar e tireoide), melanoma**.
Alterações no sistema sanguíneo e linfático*
Reação muito comum
(≥ 1/10): leucopenia (incluindo neutropenia e agranulocitose), anemia.
Reação comum (≥ 1/100 e < 1/10): trombocitopenia, leucocitose.
Reação incomum (≥ 1/1.000 e < 1/100): púrpura trombocitopênica idiopática.
Reação rara (≥ 1/10.000 e < 1.000): pancitopenia.
Alterações no sistema imune*
Reação comum
(≥ 1/100 e < 1/10): hipersensibilidade, alergias (incluindo alergia sazonal).
Alterações no metabolismo e nutrição
Reação muito comum
(≥ 1/10): aumento de lipídeos.
Reação comum (≥ 1/100 e < 1/10): hipocalemia, aumento do ácido úrico, quantidade anormal de sódio no sangue, hipocalcemia, hiperglicemia, hipofosfatemia, aumento de potássio no sangue, desidratação.
Alterações psiquiátricas
Reação comum
(≥ 1/100 e < 1/10): alterações de humor (incluindo depressão), ansiedade, insônia.
Alterações no sistema nervoso*
Reação muito comum (≥ 1/10): dor de cabeça.
Reação comum (≥ 1/100 e < 1/10): parestesia (incluindo hipoestesia), enxaqueca, compressão de raiz nervosa.
Reação incomum (≥ 1/1.000 e < 1/100): tremor, neuropatia.
Reação rara (≥ 1/10.000 e < 1.000): esclerose múltipla.
Alterações visuais
Reação comum
(≥ 1/100 e < 1/10): distúrbio visual, conjuntivite, blefarite, inchaço nos olhos.
Reação incomum (≥ 1/1.000 e < 1/100): diplopia.
Alterações no ouvido e labirinto
Reação comum
(≥ 1/100 e < 1/10): vertigem.
Reação incomum (≥ 1/1.000 e < 1/100): surdez, tinido.
Alterações cardíacas*
Reação comum
(≥ 1/100 e < 1/10): taquicardia.
Reação incomum (≥ 1/1.000 e < 1/100): arritmia, insuficiência cardíaca congestiva.
Reação rara (≥ 1/10.000 e < 1.000): parada cardíaca.
Alterações vasculares:
Reação comum
(≥ 1/100 e < 1/10): hematoma, hipertensão, rubor.
Reação incomum (≥ 1/1.000 e < 1/100): oclusão arterial vascular, tromboflebite, aneurisma aórtico.
Alterações respiratórias, torácicas e do mediastino*
Reação comum
(≥ 1/100 e < 1/10): tosse, asma, dispneia.
Reação incomum (≥ 1/1.000 e < 1/100): doença pulmonar obstrutiva crônica, pneumopatia intersticial, pneumonite.
Alterações gastrointestinais
Reação muito comum
(≥ 1/10): dor abdominal, náusea, vômito.
Reação comum (≥ 1/100 e < 1/10): hemorragia gastrointestinal, dispepsia, doença do refluxo gastroesofágico, síndrome Sicca.
Reação incomum (≥ 1/1.000 e < 1/100): pancreatite, disfagia, edema facial.
Alterações hepatobiliares*
Reação muito comum
(≥ 1/10): elevação de enzimas hepáticas.
Reação incomum (≥ 1/1.000 e < 1/100): colecistite e colelitíase, aumento da bilirrubina, esteatose hepática.
Alterações na pele e tecido subcutâneo
Reação muito comum
(≥ 1/10): rash (incluindo rash esfoliativo).
Reação comum (≥ 1/100 e < 1/10): prurido, urticária, contusões (incluindo púrpura), dermatite (incluindo eczema), onicoclase, hiperidrose.
Reação incomum (≥ 1/1.000 e < 1/100): sudorese noturna, manchas.
Alterações musculoesqueléticas e no tecido conjuntivo
Reação muito comum
(≥ 1/10): dor musculoesquelética.
Reação comum (≥ 1/100 e < 1/10): espasmos musculares (incluindo aumento da creatina fosfoquinase sanguínea).
Reação incomum (≥ 1/1.000 e < 1/100): rabdomiólise, lúpus eritematoso sistêmico.
Alterações urinárias e renais
Reação comum
(≥ 1/100 e < 1/10): hematúria, insuficiência renal.
Reação incomum (≥ 1/1.000 e < 1/100): noctúria.
Alterações no sistema reprodutor e mamas
Reação incomum
(≥ 1/1.000 e < 1/100): disfunção erétil.
Alterações gerais e no local da aplicação*
Reação muito comum
(≥ 1/10): reação no local da injeção (incluindo coloração avermelhada no local da injeção).
Reação comum (≥ 1/100 e < 1/10): dor torácica, edema.
Reação incomum (≥ 1/1.000 e < 1/100): inflamação.
Exames Complementares
Reação comum
(≥ 1/100 e < 1/10): alterações da coagulação e distúrbios hemorrágicos (incluindo aumento no tempo de tromboplastina parcial ativada), teste para auto-anticorpos positivo (incluindo anticorpo DNA de cadeia dupla), aumento de desidrogenase lática no sangue.
Ferimentos, envenenamento e complicações durante procedimento
Reação comum
(≥ 1/100 e < 1/10): cicatrização prejudicada.
* Informações adicionais podem ser encontradas em outras seções desta bula como "CONTRAINDICAÇÕES", "ADVERTÊNCIAS E PRECAUÇÕES" e "REAÇÕES ADVERSAS".
** Inclui estudos abertos de extensão.
Uveíte - O perfil de segurança em pacientes com uveíte não infecciosa tratados com adalimumabe foi consistente com o perfil de segurança do produto.
Hidradenite Supurativa - O perfil de segurança em pacientes com hidradenite supurativa tratados semanalmente com Humira foi consistente com o perfil de segurança do produto.
Pacientes pediátricos - No geral, as reações adversas em pacientes pediátricos foram similares em frequência e tipo às observados em pacientes adultos.
Reação no local de injeção - Em estudos controlados principais, realizados em adultos e crianças, 12,9% tratados com Humira desenvolveram reações no local da injeção (eritema e/ou prurido, hemorragia, dor ou edema), comparados com 721% dos pacientes controle. A maioria das reações locais foi descrita como leve e não levou
a descontinuação do tratamento.
Infecções - Em estudos controlados principais, realizados em adultos e crianças, o índice de infecções foi de 1,51 por paciente-ano no grupo tratado com Humira e 1,46 por paciente-ano no grupo controle. A incidência de infecções graves foi de 0,04 por paciente-ano no grupo tratado com Humira e 0,03 por paciente-ano no grupo controle. As infecções consistiram principalmente de nasofaringites, infecções respiratórias superiores, sinusites, bronquites e infecções do trato urinário. A maioria dos pacientes continuou o tratamento com Humira depois do controle da infecção.
Em estudos controlados e abertos, realizados em adultos e crianças, com Humira, infecções graves (incluindo raros casos fatais) foram reportadas, incluindo casos de tuberculose (inclusive miliar e extrapulmonar) e infecções oportunistas invasivas (ex.: histoplasmose disseminada, pneumonia por Pneumocystis carinii, aspergilose e listeriose).
Malignidades e desordens linfoproliferativas - Durante um estudo clinico com Humira em pacientes com artrite idiopática juvenil (artrite idiopática juvenil poliarticular e artrite relacionada à entesite) não foram observadas malignidades em 249 pacientes pediátricos com uma exposição de 655,6 pacientes-ano.
Durante um estudo clinico com Humira em pacientes pediátricos com doença de Crohn não foram observadas malignidade em 192 pacientes pediátricos com uma exposição de 498,1 pacientes-ano.
Durante um estudo clínico com Humira em pacientes pediátricos com uveíte não foram observadas malignidades em 60 pacientes pediátricos com uma exposição de 58,4 pacientes-ano.
Durante as fases controladas de estudos clínicos de Humira de, no mínimo, 12 semanas de duração em pacientes adultos que utilizaram o produto Humira, outras malignidades, que não linfoma e câncer de pele não melanoma, foram observadas a uma taxa (intervalo de confiança de 95%) de 6,8 (4,4; 10,5) por 1.000 pacientes-ano dentre 5.291 pacientes tratados com Humira contra uma taxa de 6,3 (3,4; 11,8) por 1.000 pacientes-ano dentre 3.444 pacientes controle (a duração média do tratamento com Humira foi de 4,0 meses, e 3,8 meses para pacientes controle).
A taxa (95% de intervalo de confiança) de câncer de pele não-melanoma foi de 8,8 (6,0; 13,0) por 1.000 pacientes-ano dentre os pacientes tratados com Humira e 3,2 (1,3; 7,6) por 1.000 pacientes-ano dentre os pacientes controle. Dentre este tipo de câncer de pele, carcinoma escamocelular ocorreu a uma taxa (95% de intervalo de confiança) de 2,7 (1,4; 5,4) por 1.000 pacientes-ano dentre os pacientes tratados com Humira e 0,6 (0,1; 4,5) por 1.000 pacientes-ano dentre os pacientes controle.
A taxa (95% de intervalo de confiança) de linfomas foi de 0,7 (0,2; 2,7) por 1.000 pacientes-ano dentre os pacientes tratados com Humira e 0,6 (0,1; 4,5) por 1.000 pacientes-ano dentre os pacientes controle.
A taxa de malignidades observadas, de outros que não linfomas e câncer de pele não melanoma, é aproximadamente 8,5 por 1.000 pacientes por ano na porção controlada de estudos clínicos e estudos de extensão abertos em andamento e concluídos. A taxa observada de câncer de pele não-melanoma é de aproximadamente 9,6 por 1.000 pacientes-ano, e a taxa de linfomas observada é de aproximadamente 3,3 por 1.000 pacientes-ano.
A duração média desses estudos é de aproximadamente 1,3 anos e incluiu 6.427 pacientes que estavam recebendo Humira por pelo menos 1 ano ou que desenvolveram a malignidade dentro de um ano após início do tratamento, representando um total de 26.439,6 pacientes em um ano.
Auto-anticorpos - Amostras séricas de pacientes foram testadas para auto-anticorpos em diversos momentos durante os estudos clínicos para artrite reumatoide. Nestes estudos bem controlados e adequados, 11,9% dos pacientes tratados com Humira e 8,1% de pacientes tratados com placebo e controle ativo que anteriormente tiveram resultado negativo para auto-anticorpos reportaram resultados positivos na semana 24.
Dois dos 3.989 pacientes tratados com Humira em todos os estudos clínicos para artrite reumatoide, artrite psoriásica e espondilite anquilosante, desenvolveram sinais clínicos sugestivos de novo aparecimento de síndrome lúpus-símile. Tais pacientes melhoraram após a descontinuação da terapia. Nenhum paciente desenvolveu sintomas do sistema nervoso central ou nefrite associada a lúpus.
No Estudo AIJ I, os pacientes pediátricos (4 a 17 anos de idade) tiveram amostras de soro de autoanticorpos coletadas em múltiplos pontos temporais. Pacientes que antes tinham testes basais negativos para anticorpos anti-ds-DNA, no final da fase aberta lead-in (após 16 semanas de Humira) apresentaram testes positivos em 31,8% dos pacientes tratados concomitantemente com metotrexato e 33,7% dos pacientes tratados com Humira em monoterapia.
No final da fase duplo-cega (após 48 semanas de tratamento), os pacientes em tratamento concomitante com metotrexato, que antes tinham testes basais negativos para anticorpos anti-ds-DNA, apresentaram testes positivos em 54,1% dos pacientes tratados com placebo e 52,6% dos pacientes tratados com Humira. Entre os pacientes não tratados concomitantemente com metotrexato, 32,1% dos pacientes tratados com placebo e 33,3% dos pacientes tratados com Humira apresentaram testes positivos.
No Estudo AIJ II, os pacientes pediátricos (2 a < 4 anos de idade) tiveram amostras de soro de autoanticorpos coletadas no baseline e na semana 24. Neste estudo aberto, 45,2% dos pacientes, que antes apresentaram anticorpos antinucleares negativos, reportaram resultados positivos na semana 24. Nenhum destes pacientes tinha anticorpo anti-ds-DNA.
Nenhum dos 202 pacientes pediátricos tratados com Humira nos Estudos AIJ I e II, desenvolveram sinais clínicos sugestivos de novo aparecimento de síndrome de lúpus-símile. O impacto da terapia prolongada com Humira no desenvolvimento de doenças auto-imunes é desconhecido.
Psoríase: novo aparecimento e agravamento - Casos de novo aparecimento de psoríase, incluindo psoríase pustular e psoríase palmoplantar, e casos de piora de psoríase pré-existente foram relatados com o uso de bloqueadores de TNF, incluindo Humira. Muitos desses pacientes estavam usando concomitantemente imunossupressores (isto e, metotrexato, corticoesteroides).
Alguns desses casos necessitaram hospitalização. A maioria dos pacientes teve uma melhora da psoríase após a descontinuação do bloqueador de TNF. Alguns pacientes passaram por recorrência da psoríase quando iniciados em um diferente bloqueador de TNF. A descontinuação de AMGEVITA deve ser considerada em casos graves e naquelas em que não há melhora ou até piora em contrapartida ao tratamento tópico.
Elevação das enzimas do fígado - Em estudos controlados de fase III com Humira (40 mg de administração subcutânea a cada duas semanas), em pacientes com artrite reumatoide e artrite psoriasica e com a duração do período controle variando entre 4 e 104 semanas, as elevações da enzima aminotransferase (ALT) ≥ 3 vezes acima dos limites normais ocorreram em 3,7% dos pacientes tratados com Humira e 1,6% dos pacientes tratados com o controle. Uma vez que muitos pacientes nestes estudos também estavam utilizando medicamentos que causam elevações de enzimas hepáticas (ex.: AINEs, metotrexato) a relação entre Humira e a elevação das enzimas hepáticas não é clara.
Em estudos controlados de fase III com Humira (doses iniciais de 160 mg e 80 mg ou 80 mg e 40 mg nos Dias 1 e 15, respectivamente, seguidos de 40 mg a cada duas semanas), em pacientes com doença de Crohn e com a duração do período controle variando entre 4 e 52 semanas, as elevações da ALT ≥ 3 vezes acima dos limites normais ocorreram em 0,9% dos pacientes tratados com Humira e 0,9% dos pacientes tratados com o controle.
Em estudos controlados de fase III com Humira (doses iniciais de 160 mg e 80 mg nos Dias 1 e 15, respectivamente, seguidos de 40 mg a cada duas semanas), em pacientes com colite ulcerativa ou retocolite ulcerativa e com duração do período controle variando entre 1 a 52 semanas, as elevações da ALT ≥ 3 vezes acima dos limites normais ocorreram em 1,5% dos pacientes tratados com Humira e 1,0% dos pacientes tratados com o controle.
Em estudos controlados de fase III com Humira (dose inicial de 80 mg, seguidos de 40 mg a cada duas semanas) em pacientes com psoríase em placas e com a duração do período controle variando entre 12 e 24 semanas, as elevações da ALT ≥ 3 vezes acima dos limites normais ocorreram em 1,8% dos pacientes tratados com Humira e 1,8% dos pacientes tratados com o controle.
Em estudos controlados com Humira (dose inicial de 160 mg na semana 0, 80 mg na semana 2, seguidos de 40 mg a cada semana a partir da semana 4) em pacientes com hidradenite supurativa e com a duração do período controle variando entre 12 e 16 semanas, as elevações da ALT ≥ 3 vezes acima dos limites normais ocorreram em 0,3% dos pacientes tratados com Humira e 0,6% dos pacientes tratados com o controle.
Em estudos controlados de fase III com Humira (40 mg a cada duas semanas) em pacientes com espondiloartrite axial (espondilite anquilosante e espondiloartrite axial não radiográfico) e com a duração do período controle variando entre 12 e 24 semanas, as elevações da ALT ≥ 3 vezes acima dos limites normais ocorreram em 2,1% dos pacientes tratados com Humira e 0,8% dos pacientes tratados com o controle.
Em estudo controlado de fase III com Humira em pacientes pediátricos com artrite idiopática juvenil poliarticular de 4 a 17 anos, e pacientes com artrite relacionada à entesite acima de 6 anos, as elevações da ALT ≥ 3 vezes acima dos limites normais ocorreram em 6,1% dos pacientes tratados com Humira e 1,3% dos pacientes tratados com o controle. As maiores elevações de ALT ocorreram durante o uso concomitante de metotrexato. Não houve elevações da ALT ≥ 3 no estudo controlado fase III com Humira em pacientes pediátricos com artrite idiopática juvenil de 2 a 4 anos.
Em estudo controlado de fase III com Humira em pacientes pediátricos com doença de Crohn, avaliou a segurança e eficácia em dois regimes manutenção de dose para dois diferentes pesos corporais após uma terapia com dose de indução por peso corporal superior a 52 semanas de tratamento, as elevações da ALT ≥ 3 vezes acima dos limites normais ocorreram em 2,6% (5/192) dos pacientes tratados com Humira dos quais 4 receberam imunossupressor concomitantemente no baseline do estudo.
Em estudos controlados com Humira (doses iniciais de 80 mg na semana 0 seguidos de 40 mg em semanas alternadas começando na semana 01) em pacientes com uveíte com uma exposição de 165,4 PYs e 119,8 PYs em pacientes tratados com Humira e com o controle, respectivamente, as elevações de ALT. 3 X ULN ocorreram em 2,4% para os pacientes tratados com Humira e 2,4% para os pacientes tratados com a terapia controle.
Nos estudos clínicos, para todas as indicações, as elevações da ALT foram assintomáticas para os pacientes e na maioria dos casos, estas elevações foram transitórias e resolvidas com a continuação do tratamento. No entanto, houve relatos muito raros na pós-comercialização de reações hepáticas graves, incluindo insuficiência hepática, em pacientes que receberam bloqueadores de TNF, incluindo adalimumabe. A relação causal com o tratamento de adalimumabe permanece incerta.
Tratamento concomitante com azatioprina/6-mercaptopurina - Nos estudos em adultos com doença de crohn, foi observada uma incidência maior de infecções graves e malignas relacionadas aos eventos adversos na combinação de Humira e azatioprina/6-mercaptopurina quando comparadas com Humira isoladamente.
Reações adversas adicionais na vigilância pós-comercialização ou estudos clínicos de fase IV
Foram descritos eventos adversos durante o período de comercialização de Humira. Esses eventos são relatados voluntariamente por populações de tamanho incerto, portanto, não é possível estimar com confiança a sua frequência ou estabelecer uma relação causal a exposição de Humira.
Infecções e infestações: diverticulite.
Neoplasias benignas, malignas e inespecíficas (incluindo cistos e pólipos)*: linfoma hepatoesplênico de células T, leucemia, carcinoma de células de Merkel (carcinoma neuroendócrino cutâneo).
Alterações do sistema imune: anafilaxia, sarcoidose.
Alterações do sistema nervoso*: doenças desmielinizantes (ex.: neurite ótica, Síndrome de Guillain-Barre), acidente vascular cerebral.
Alterações respiratórias, torácicas e mediastinais: embolismo pulmonar, derrame pleural, fibrose pulmonar.
Alterações gastrointestinais*: perfuração intestinal.
Alterações hepatobiliares*: reativação da hepatite B, insuficiência hepática, hepatite.
Alterações da pele e do tecido subcutâneo: vasculite cutânea, síndrome de Stevens-Johnson, angioedema, novo aparecimento ou piora da psoríase (incluindo psoríase pustular palmoplantar); eritema multiforme, alopecia, reação cutânea liquenóide**.
Alterações musculoesqueléticas ou do tecido conectivo: síndrome lupus-simile.
Alterações cardíacas: infarto do miocárdio.
Alterações gerais e condições do local da administração: pirexia.
* Informações adicionais podem ser encontradas em outras seções desta bula como "CONTRAINDICAÇÕES", "ADVERTÊNCIAS E PRECAUÇÕES" e "REAÇÕES ADVERSAS".
**ocorre em pacientes administrando antagonista de TNF, incluindo adalimumabe.
Em casos de eventos adversos, notifique ao Sistema de Notificação de Eventos Adversos a Medicamentos - VIGIMED, disponível em http://portal.anvisa.gov.br/vigimed, ou para a Vigilância Sanitária Estadual ou Municipal.

10. SUPERDOSE
A dose máxima tolerada de adalimumabe não foi determinada em humanos. Nos estudos clínicos não foi observada toxicidade limitada por doses. Doses múltiplas de até 10 mg/kg foram administradas a pacientes nos estudos clínicos, sem evidência de toxicidade limitada pelas doses. Em caso de superdose, recomenda-se que o paciente seja monitorado quanto à presença de sinais ou sintomas de reações adversas e o tratamento sintomático e de suporte apropriado deve ser instituído imediatamente.
Em caso de intoxicação ligue para 0800 722 6001, se você precisar de mais orientações.

Dizeres legais.

VENDA SOB PRESCRIÇÃO MÉDICA
MS 1.0244.0015
Esta bula foi aprovada pela Anvisa em 01/04/2019.

Principios Activos de Amgevita

Patologías de Amgevita

Laboratorio que comercializa Amgevita

Kairos

Ver Preços Atualizados

Consulta preços em farmácias

®2025 PR Vade-mécum. Todos os direitos reservados.