Logo PR Vademécum

PR Vade-mécum

XTANDI

ASTELLAS

enzalutamida

Antineoplásico.

Apresentações.

XTANDI é fornecido em cápsulas gelatinosas moles contendo 40 mg de enzalutamida e está disponível nas seguintes apresentações:
-Embalagem com 120 cápsulas, inseridas em 30 bolsas contendo 01 blíster de 04 cápsulas cada.
USO ORAL
USO ADULTO

Composição.

-Cada cápsula gelatinosa mole contém 40 mg de enzalutamida. Excipientes: caprilcaproil macrogol glicerídeos, butil-hidroxianisol (E320), butil-hidroxitolueno (E321), gelatina, sorbitol, solução de sorbitano, glicerol, dióxido de titânio (E171), água purificada, tinta farmacêutica (etanol, acetato de etila, propilenoglicol, óxido de ferro (E172), acetato ftalato de polivinila, álcool isopropílico, macrogol 400, solução de amônia).

Indicações.

XTANDI é indicado para o tratamento de câncer de próstata metastático resistente à castração em adultos que tenham recebido terapia com docetaxel.

Resultados de eficácia.

Eficácia clínica e segurança
A eficácia e segurança de enzalutamida em pacientes com câncer de próstata metastático resistente à castração que tenham recebido docetaxel e estavam usando hormônio liberador de gonadotrofinas (GnRH) análogo ou que foram submetidos à orquiectomia, foram avaliados por um ensaio clínico de Fase 3, multicêntrico, controlado por placebo, randomizado. Um total de 1.199 pacientes foram randomizados em proporção 2:1 para receber enzalutamida oralmente, em uma dose de 160 mg uma vez ao dia (N = 800), ou placebo uma vez ao dia (N=399). Foi permitido, mas não exigido, que os pacientes tomassem prednisona. Os pacientes randomizados para cada unidade tinham que continuar o tratamento até a progressão da doença (definida como progressão confirmada por radiografia ou a ocorrência de um evento relacionado ao esqueleto) e iniciação de novo tratamento antineoplásico sistêmico, toxicidade inaceitável ou abstinência.
Os dados demográficos de pacientes e características de referência da doença a seguir foram equilibrados entre as unidades de tratamento. A idade média foi 69 anos (variação 41 -92) e a distribuição racial foi 92,7% caucasianos; 3,9% negros; 1,1% asiáticos e 2,1% outras raças. O índice de desempenho do ECOG foi de 0-1 em 91,5% dos pacientes e 2 em 8,5% dos pacientes; 28,4% tiveram um índice de Inventário Breve de Dor de ≥ 4 (média de pior dor relatada por paciente sobre as 24 horas anteriores calculada por 7 dias antes da randomização). A maioria (91,2%) dos pacientes tinham metástases nos ossos e 23,2% tinham comprometimento visceral de pulmão e/ou fígado.
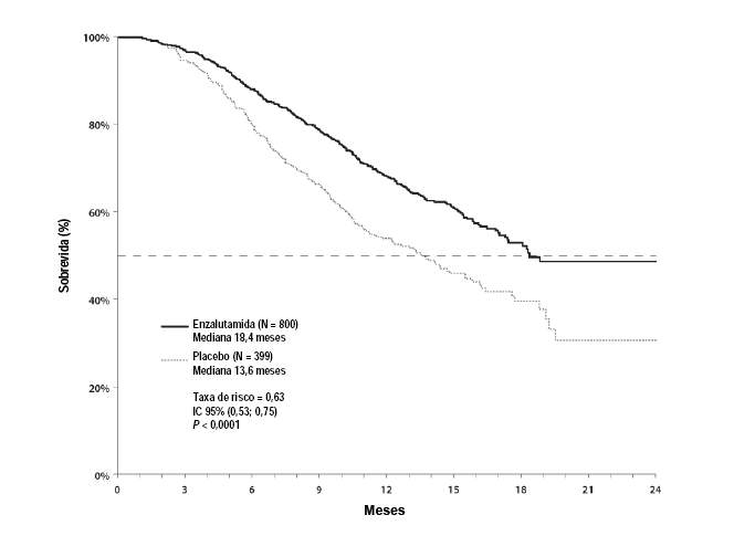
A análise interina pré-especificada do protocolo após 520 óbitos demonstrou uma superioridade estatisticamente significativa na sobrevida global mediana em pacientes tratados com enzalutamida comparado com o placebo (Tabela 1 e Figura 1).
Tabela 1 Sobrevida Global de Pacientes Tratados com Enzalutamida ou Placebo (Análise por Intenção de Tratar)

a O valor p é derivado de um teste log-rank estratificado pelo status do índice de desempenho ECOG (0-1 vs. 2) e pontuação média de dor ( < 4 vs. ≥ 4).
b Taxa de Risco é derivada de um modelo de risco proporcional estratificado. Taxa de risco < 1 favorece a enzalutamida.
Figura 1: Curvas de Sobrevida Global de Kaplan-Meier (Análise por Intenção de Tratar)

A análise de sobrevida de subgrupo demonstrou um benefício de sobrevida consistente para o tratamento com enzalutamida (consulte a Figura 2).
Figura 2: Sobrevida Global por Subgrupo - Taxa de Risco e 95% de Intervalo de Confiança

ECOG: Eastern Cooperative Oncology Group; BPI-SF: Inventário Breve de Dor - Forma Abreviada; PSA: Antígeno Prostático Específico.
Em adição à melhoria observada na sobrevida global, todos os desfechos secundários do estudo favoreceram a enzalutamida e foram estatisticamente importantes após o ajuste para testagem múltipla como segue:
A sobrevida sem progressão radiográfica foi de 8,3 meses para pacientes tratados com enzalutamida e de 2,9 meses para pacientes que receberam placebo (HR = 0,404; IC 95%: [0,350; 0,466]); p < 0,0001).
A redução de PSA confirmada de 50% ou 90% foi de 54,0% e 24,8% para pacientes tratados com enzalutamida e de 1,5% e 0,9% para pacientes que receberam placebo (p < 0,0001). O tempo mediano para progressão do PSA foi de 8,3 meses para pacientes tratados com enzalutamida e de 3,0 meses para pacientes que receberam placebo (HR = 0,248; IC 95%: [0,204; 0,303]; p < 0,0001).
O tempo mediano para o primeiro evento relacionado ao esqueleto (SER) foi de 16,7 meses para pacientes tratados com enzalutamida e de 13,3 meses para pacientes que receberam placebo (HR = 0,688; IC 95%: [0,566; 0,835]; p < 0,0001). Um evento relacionado ao esqueleto foi definido como uma terapia de radiação ou cirurgia óssea, fratura patológica de osso, compressão da medula espinhal ou mudança de terapia antineoplásica para tratar a dor óssea.
A velocidade da resposta para qualidade de vida (Avaliação Funcional de Terapia de Câncer - Próstata; FACT-P) foi de 43,2% para pacientes tratados com enzalutamida e de 18,3% para pacientes que receberam placebo (p < 0,0001).
A velocidade da resposta radiográfica avaliada por investigador (definida como a soma das respostas total e parcial) entre pacientes tratados com enzalutamida foi de 28,9% comparado com uma velocidade de resposta objetiva de 3,8% para pacientes que receberam placebo (p < 0,0001).
O risco de progressão da dor foi reduzido em 44% para pacientes tratados com enzalutamida comparado aos pacientes que receberam placebo (HR = 0,56; IC 95%: [0,41; 0,78]; p = 0,0004). O tempo mediano para progressão da dor foi de 13,8 meses para pacientes que receberam placebo e não alcançado para pacientes tratados com enzalutamida. A progressão da dor foi definida como um aumento acima do valor de referência na avaliação FACT-P da dor, confirmada por uma segunda avaliação consecutiva obtida 3 ou mais semanas depois.

Caract. farmacológicas.

Mecanismo de ação
Sabe-se que o câncer de próstata é sensível à andrógenos e responde à inibição de sinalização de receptor de andrógenos (RA). Apesar dos baixos ou mesmo imperceptíveis níveis de andrógeno sérico, a sinalização RA continua a promover a progressão da doença. A estimulação do crescimento das células do tumor via receptor andrógeno exige localização nuclear e ligação ao DNA. A enzalutamida é um potente inibidor da sinalização do receptor de andrógenos que bloqueia vários passos no caminho da sinalização deste receptor. A enzalutamida inibe competitivamente a ligação dos andrógenos aos receptores dos mesmos, inibe a translocação nuclear de receptores ativados e inibe a associação do receptor de andrógenos ativados com o DNA mesmo no caso de superexpressão do receptor de andrógenos e nas células de câncer de próstata resistentes a antiandrógenos. O tratamento com enzalutamida diminui o crescimento das células de câncer de próstata e pode induzir a morte das células do câncer e a regressão do tumor. Em estudos pré-clínicos, a enzalutamida carece de atividade agonista do receptor de andrógenos.
Efeitos farmacodinâmicos
O antígeno prostático específico (PSA) funciona como marcador biológico em pacientes com câncer de próstata. Em um estudo clínico Fase 3 de pacientes cuja quimioterapia anterior com docetaxel falhou, 54% dos pacientes tratados com enzalutamida, comparado a 1,5% de pacientes que receberam placebo, tiveram pelo menos uma redução de 50% do valor de referência dos níveis de PSA.
Propriedades farmacocinéticas
A farmacocinética da enzalutamida foi avaliada em pacientes com câncer de próstata e em indivíduos saudáveis do sexo masculino. A meia-vida terminal média (t1/2) para enzalutamida em pacientes após uma única dose oral é 5,8 dias (variação de 2,8 a 10,2 dias) e o estado de equilíbrio é atingido em aproximadamente um mês. Com administração oral diária, a enzalutamida acumula aproximadamente 8,3 vezes relativo uma única dose. As variações diárias nas concentrações plasmáticas são baixas (taxa de máxima para mínima de 1,25). A depuração da enzalutamida ocorre principalmente via metabolismo hepático, produzindo um metabólito ativo que circula aproximadamente na mesma concentração da enzalutamida.
Absorção
As concentrações plasmáticas máximas (Cmáx) de enzalutamida nos pacientes são observadas 1 a 2 horas após a administração. Com base em um estudo de equilíbrio de massa em humanos, a absorção oral de enzalutamida é estimada em pelo menos 84,2%. A enzalutamida não é um substrato dos transportadores de efluxo P-gp ou BCRP. No estado de equilíbrio, os valores de Cmáx médios para enzalutamida e seu metabólito ativo são 16,6 mcg/mL (CV 23%) e 12,7 mcg/mL (CV 30%), respectivamente.
Os alimentos não têm efeito clinicamente importante na absorção. Em ensaios clínicos, a enzalutamida foi administrada independentemente dos alimentos.
Distribuição
O volume aparente médio de distribuição (V/F) da enzalutamida em pacientes após uma dose única oral é de 110 L (CV 29%). O volume de distribuição da enzalutamida é maior do que o volume de água corporal total, indicativo da extensiva distribuição extravascular. Estudos em roedores indicam que a enzalutamida e seu metabólito ativo podem atravessar a barreira hematoencefálica.
A enzalutamida é de 97% a 98% ligada às proteínas plasmáticas, principalmente à albumina. O metabólito ativo é 95% ligado às proteínas plasmáticas.
Metabolismo
A enzalutamida é extensivamente metabolizada. Existem dois principais metabólitos no plasma humano: N-desmetil enzalutamida (ativa) e um derivado do ácido carboxílico (inativo). A enzalutamida é metabolizada pelo CYP2C8 e, em menor grau, pelo CYP3A4/5 (verificar Seção 6. Interações Medicamentosas), ambos os quais executam um papel na formação do metabólito ativo. A enzalutamida não é metabolizada in vitro por CYP1A1, CYP1A2, CYP2A6, CYP2B6, CYP2C9, CYP2C18, CYP2C19, CYP2D6 ou CYP2E1.
Estudos in vitro demonstram que a enzalutamida e/ou seu metabólito ativo são inibidores de CYP2C8 e CYP2C19, com menos efeitos inibidores no CYP2B6 e CYP2C9. Sob condições de uso clínico, a enzalutamida é um indutor moderado de CYP2C9 e CYP2C19 e não tem efeito clinicamente relevante sobre CYP2C8 (Seção 6. Interações Medicamentosas).
Eliminação e excreção
A depuração aparente média (CL/F) da enzalutamida em pacientes varia de 0,520 e 0,564 L/h.
Após a administração oral de 14C-enzalutamida, 84,6% da radioatividade é recuperada 77 dias pós-dose: 71,0% é recuperado na urina (principalmente como o metabólito inativo, com quantidades residuais de enzalutamida e o metabólito ativo) e 13,6% é recuperado nas fezes (0,39% da dose como enzalutamida inalterada).
Dados in vitro indicam que a enzalutamida não é um substrato para o polipeptídio de transporte de ânion orgânico 1B1 (OATP1B1), OATP1B3 ou transportador de cátion orgânico 1 (OCT1).
Dados in vitro indicam que a enzalutamida e seus principais metabólitos não inibem os seguintes transportadores em concentrações clinicamente relevantes: OATP1B1, OATP1B3, OCT1, OCT2, transporte de ânion orgânico 1 (OAT1) ou OAT3.
Populações especiais
Idosos
Dos 800 pacientes no estudo de Fase 3 que receberam XTANDI, 568 pacientes (71%) tinham 65 anos ou mais e 199 pacientes (25%) tinham 75 anos ou mais. Entre pacientes idosos e mais jovens não foram observadas diferenças globais na segurança e na eficácia. Com base na análise farmacocinética da população por idade, os extremos no estudo AFFIRM de 41 e 92 anos foram comparados aos de 69 anos (idade média de pacientes no ensaio). Com relação a CL/F para um indivíduo de 69 anos, indivíduos de 41 e 92 anos foram associados a um aumento de 4% e uma redução de 2% na CL/F, respectivamente. Não há necessidade de ajuste de doses em idosos.
Pediátrica
A enzalutamida não é indicada para uso em crianças. A farmacocinética da enzalutamida em pacientes pediátricos não foi avaliada.
Sexo
A enzalutamida não é indicada para uso em mulheres. A farmacocinética da enzalutamida em mulheres não foi avaliada.
Raça
A maioria dos pacientes no ensaio clínico randomizado era caucasiana ( > 92%). Não existem dados suficientes para avaliar potenciais diferenças na farmacocinética da enzalutamida em outras raças.
Comprometimento renal
Não foi concluído nenhum estudo formal sobre comprometimento renal para a enzalutamida. Pacientes com creatinina sérica > 177 mmol/L (2 mg/dL) foram excluídos dos ensaios clínicos. Com base na análise farmacocinética da população, não são necessários ajustes para pacientes com valores calculados de depuração de creatinina (CrCL) ≥ 30 mL/min (estimado pela fórmula Cockcroft & Gault). A enzalutamida não foi avaliada em pacientes com comprometimento renal grave (CrCl < 30 mL/min) ou doença renal em estágio final, sendo aconselhável cautela ao tratar esses pacientes. É improvável que a enzalutamida seja removida por hemodiálise intermitente ou diálise peritoneal ambulatorial contínua.
Comprometimento hepático
A farmacocinética da enzalutamida foi avaliada em sujeitos com comprometimento hepático basal leve (N = 6) ou moderado (N = 8) (Child-Pugh Classes A e B, respectivamente) e 14 sujeitos de controle pareado com função hepática normal. Após uma dose oral única de 160 mg de enzalutamida, os parâmetros de exposição para enzalutamida aumentaram em aproximadamente 24% e 29% em sujeitos com comprometimento hepático leve e moderado, respectivamente, comparado aos sujeitos de controle saudáveis. Comprometimento hepático teve efeitos similares mínimos sobre a AUC do metabólito ativo. Em geral, os resultados indicam que não são necessários ajustes para pacientes com comprometimento hepático de referência leve ou moderado.
Foram excluídos dos ensaios clínicos pacientes com comprometimento hepático basal grave (Child-Pugh Classe C). É aconselhável cautela ao tratar esses pacientes.

Contraindicações.

XTANDI é contraindicado a pacientes com hipersensibilidade à substância ativa ou a qualquer dos excipientes do medicamento e em mulheres que estejam ou possam ficar grávidas (consulte a Seção 5. Advertências e Precauções).
Este medicamento é contraindicado para menores de 18 anos de idade.

Advertências e precauções.

Risco de convulsões
Deve-se ter cautela na administração de XTANDI em pacientes com um histórico de convulsões ou outros fatores predisponentes incluindo, entre outros, lesão cerebral subjacente, derrame, tumores encefálicos primários ou metástases encefálicas, ou alcoolismo. Além disso, o risco de convulsões pode ser aumentado em pacientes recebendo medicações concomitantes que reduzam o limiar convulsivo.
Síndrome de encefalopatia posterior reversível
Houve relatos raros de síndrome de encefalopatia posterior reversível (PRES) em pacientes recebendo XTANDI. PRES é uma doença neurológica rara e reversível que pode apresentar sintomas com rápida evolução, incluindo convulsões, dor de cabeça, confusão, cegueira e outros distúrbios visuais e neurológicos, com ou sem hipertensão associada. Um diagnóstico de PRES requer confirmação por exame de imagem cerebral, preferencialmente por ressonância magnética (RM). Recomenda-se a descontinuação do XTANDI em pacientes que desenvolvam PRES.
Comprometimento renal
É necessária cautela em pacientes com comprometimento renal grave, já que XTANDI não foi avaliado nestas populações de pacientes.
Comprometimento hepático
É necessário cuidado em pacientes com comprometimento hepático grave, já que XTANDI não foi avaliado nestas populações de pacientes.
Excipientes
XTANDI contém sorbitol (E420). Pacientes com problemas hereditários raros de intolerância à frutose não devem tomar XTANDI.
Efeitos na capacidade de dirigir ou operar máquinas
Devido ao risco de convulsões associado ao uso de XTANDI, os pacientes devem ser informados do risco de dirigir ou usarem quaisquer ferramentas ou máquinas nas quais a perda súbita de consciência possa causar danos graves a eles ou a outras pessoas.
Fertilidade, gravidez e lactação
Contracepção em homens e mulheres
É desconhecida a presença de XTANDI ou seus dos metabólitos no sêmen. Durante e após 3 meses de tratamento com XTANDI, é necessário o uso de preservativo se o paciente mantiver atividade sexual com uma mulher grávida. Se o paciente mantiver atividade sexual com uma mulher em idade fértil, preservativo e outra forma de controle de natalidade deve ser usado durante e por 3 meses após o tratamento.
Gravidez -Categoria X
XTANDI não é indicado para uso em mulheres. É contraindicado para mulheres que estejam ou possam engravidar (consulte as seções 3. Características Farmacológicas e 4. Contraindicações). Não existem dados humanos sobre o uso de enzalutamida durante a gravidez. Considerando-se as consequências farmacológicas da inibição da sinalização do receptor de andrógenos, o uso de enzalutamida por uma mãe deverá produzir mudanças nos níveis de hormônios que poderiam afetar o desenvolvimento do feto.
A prescrição deste medicamento para mulheres com potencial de engravidar deve ser acompanhada por métodos contraceptivos adequados, com orientação quanto aos riscos de seu uso e rigoroso acompanhamento médico.
Este medicamento não deve ser utilizado por mulheres grávidas ou que possam ficar grávidas durante o tratamento. Ele provoca anomalias fetais, sendo o risco ao feto maior do que qualquer benefício possível para a paciente.
Amamentação
XTANDI não é indicado para uso em mulheres. É desconhecido se XTANDI ou seus metabólitos são excretados no leite humano.
Fertilidade
Não foram conduzidos estudos toxicólogicos de reprodução e desenvolvimento com enzalutamida, mas em pesquisas com ratos (4 e 26 semanas) e cães (4 e 13 semanas), foram observados atrofia, aspermia/hipospermia e hipertrofia/hiperplasia no sistema reprodutor, consistentes com a atividade de XTANDI. Nas pesquisas com ratos (4 e 26 semanas) e cães (4 e 13 semanas), alterações nos órgãos reprodutivos associadas com a enzalutamida foram reduções no peso do órgão com atrofia da próstata e epidídimo. Alterações adicionais nos tecidos reprodutivos incluíram hipertrofia/hiperplasia da glândula pituitária e atrofia nas vesículas seminais em ratos e hipospermia e degeneração do túbulo seminífero em cães. Foram observadas diferenças de gênero em glândulas mamárias de ratos (atrofia de machos e hiperplasia lobular em fêmeas). As alterações nos órgãos reprodutivos em ambas as espécies foram consistentes com a atividade farmacológica de enzalutamida e revertidas ou parcialmente resolvidas após um período de recuperação de 8 semanas. Não houve outras alterações importantes na patologia clínica ou histopatologia em nenhum outro sistema orgânico, inclusive o fígado, em qualquer espécie.
Estudos em animais demonstraram que a enzalutamida afetou o sistema reprodutivo em ratos e cães machos. Considerando-se a atividade farmacológica dos inibidores de sinalização do receptor de andrógenos, não pode ser excluído um efeito sobre a fertilidade masculina em humanos.
Carcinogênese, mutagênese e fototoxicidade
Não foram realizados estudos de longo prazo em animais para avaliar a carcinogênese potencial da enzalutamida.
A enzalutamida não induziu mutações no ensaio da mutação bacteriana reversa (Ames), foi não mutagênica, não clastogênica em células mamárias e não genotóxica in vivo em ratos.
A enzalutamida não induziu à fototoxicidade em células mamárias cultivadas.

Interações medicamentosas.

Potencial para outros medicamentos afetarem as exposições á enzalutamida
Inibidores e indutores do CYP2C8
O CYP2C8 desempenha um importante papel na eliminação da enzalutamida e na formação de seu metabólito ativo. Após a administração oral do forte inibidor de CYP2C8 -genfibrozila (600 mg duas vezes por dia) -em indivíduos saudáveis do sexo masculino, a AUC da enzalutamida aumentou 4,26 vezes, enquanto a Cmáx diminuiu 18%; a AUC e a Cmáx do metabólito ativo diminuíram 25% e 44%, respectivamente. Fortes inibidores (ex.: genfibrozila) ou redutores (ex.: rifampicina) do CYP2C8 devem ser evitados ou usados com cautela durante o tratamento com enzalutamida.
Inibidores e indutores do CYP3A4
O CYP3A4 desempenha um papel secundário no metabolismo da enzalutamida. Após a administração oral do forte inibidor do CYP3A4 itraconazol (200 mg uma vez ao dia) em indivíduos saudáveis do sexo masculino, a AUC da enzalutamida aumentou em 1,41 vezes, enquanto a Cmáx não foi essencialmente afetada (diminuiu 2%); a AUC do metabólito ativo aumentou 1,21 vezes, enquanto a Cmáx diminuiu 14%. Ajustes de dose não são necessários quando a enzalutamida é coadministrada com inibidores ou indutores do CYP3A4.
Potencial para enzalutamida em afetar exposições a outros medicamentos
Indução enzimática
A enzalutamida é um forte indutor enzimático e aumenta a síntese de muitas enzimas e transportadores; portanto, é esperado que haja interação com muitos medicamentos comuns que são substratos de enzimas ou transportadores. A redução da concentração plasmática pode ser substancial e levar à perda ou diminuição do efeito clínico. Há também o risco de aumento da formação de metabólitos ativos. As enzimas que podem ser induzidas incluem CYP3A no fígado e no intestino, CYP2B6, CYP2C9, CYP2C19 e uridina 5'-difosfato-glucoronosiltransferase (UGTs -enzimas conjugadoras de glucuronídeo). A proteína de transporte P-gp pode também ser induzida, e provavelmente outros transportadores como, por exemplo, a proteína 2 associada à resistência a multidrogas (MRP2), a proteína resistente ao câncer de mama (BCRP) e o polipeptídeo transportador de ânions orgânicos 1B1 (OATP1B1).
A enzalutamida é um forte indutor do CYP3A4 e um indutor moderado do CYP2C9 e do CYP2C19. A coadministração de enzalutamida (160 mg uma vez ao dia) com doses orais únicas de substratos sensíveis ao CYP em pacientes com câncer de próstata resultou em uma redução de 86% na AUC do midazolam (substrato CYP3A4), uma redução de 56% na AUC da S-varfarina (substrato CYP2C9) e uma redução de 70% na AUC do omeprazol (substrato CYP2C19). A uridina 5-disfosfato-glucoronosiltransferase (UGT1A1) também pode ter sido induzida. Considerados em conjunto, esses resultados sugerem que a enzalutamida causa indução enzimática via ativação do receptor nuclear do pregnano (PXR).
Em um estudo clínico em pacientes com CRPC metastático, a enzalutamida (160 mg uma vez por dia) não teve efeito clinicamente relevante sobre a farmacocinética do docetaxel administrado por via intravenosa (75 mg/m2 por infusão a cada 3 semanas). A AUC do docetaxel diminuiu em 12% [razão da média geométrica (GMR) = 0,882 (IC 90%: 0,767; 1,02)] enquanto a Cmáx diminuiu em 4% [GMR = 0,963 (IC 90%: 0,834; 1,11)].
São esperadas interações com certos medicamentos que são eliminados por meio do metabolismo ou transporte ativo. Caso o seu efeito terapêutico seja de grande importância para o paciente e ajustes de dose não forem facilmente realizados com base no monitoramento da eficácia ou das concentrações plasmáticas, estes medicamentos devem ser evitados ou usados com cuidado. Há suspeita de que o risco de lesão hepática após a administração de paracetamol seja maior em pacientes tratados concomitantemente com indutores enzimáticos.
Os grupos de medicamentos que podem ser afetados incluem os seguintes medicamentos, mas não estão limitados a eles:
-Certos medicamentos usados para tratar asma e outras doenças respiratórias (ex.: aminofilina, teofilina).
-Medicamentos usados para tratar certos transtornos psiquiátricos como depressão e esquizofrenia (ex.: clozapina, olanzapina, risperidona, ziprasidona, bupropiona, lítio, clorpromazina, mesoridazina, tioridazina, amitriptilina, desipramina, doxepina, imipramina, maprotilina, mirtazapina).
-Analgésicos (ex.: fentanil, tramadol, petidina).
-Antibióticos (ex.: claritromicina, doxiciclina, rifampicina).
-Agentes anticâncer (ex.: cabazitaxel).
-Anticoagulantes (ex.: acenocumarol, varfarina).
-Antiepiléticos (ex.: carbamazepina, clonazepam, fenitoína, primidona, ácido valproico).
-Antipsicóticos (ex.: haloperidol).
-Betabloqueadores (ex.: bisoprolol, propranolol).
-Bloqueadores dos canais de cálcio (ex.: diltiazem, felodipina, nicardipina, nifedipina, verapamil).
-Glicosídeos cardíacos (ex.: digoxina).
-Corticoides (ex.: dexametasona, prednisolona).
-Antivirais HIV (ex. indinavir, ritonavir).
-Benzodiazepínicos (ex.: diazepam, midazolam, zolpidem).
-Imunomodeladores (ex.: ciclosporina, tacrolimo).
-Estatinas metabolizadas pelo CYP3A4 (ex.: atorvastatina, sinvastatina).
-Agentes tiroideanos (ex.: levotiroxina).
O potencial total de indução da enzalutamida pode não ocorrer até cerca de 1 mês após o início do tratamento, quando as concentrações plasmáticas da enzalutamida no estado de equilíbrio forem atingidas, embora alguns efeitos de indução possam aparecer anteriormente. Os pacientes em uso de medicamentos que são substratos do CYP2B6, CYP3A4, CYP2C9, CYP2C19, CYP1A2 ou UGT1A1 devem ser avaliados para possível perda de efeitos farmacológicos (ou aumento dos efeitos nos casos em que há formação de metabólitos ativos) durante o primeiro mês de tratamento com enzalutamida, e o ajuste de dose deve ser considerado conforme apropriado. Levando em consideração a longa meia-vida da enzalutamida, o efeito nas enzimas pode persistir por um mês ou mais após a interrupção da enzalutamida. Uma redução gradual da dose do medicamento concomitante pode ser necessária quando interromper o tratamento com enzalutamida.
Substratos de CYP2C8
A enzalutamida (160 mg uma vez ao dia) não causou uma alteração clinicamente relevante na AUC da pioglitazona (substrato de CYP2C8) e não é indicado ajuste de dose quando um substrato de CYP2C8 é coadministrado com enzalutamida.
Substratos de P-gp
Dados in vitro indicam que a enzalutamida pode ser um inibidor do transportador de efluxo P-gp. O efeito da enzalutamida em substratos de P-gp não foi avaliado in vivo; todavia, sob condições de uso clínico, a enzalutamida pode ser um indutor de P-gp via ativação do PXR. Medicamentos com abrangência terapêutica estreita que são substratos de P-gp (ex., colchicina, etexilato de dabigatrana, digoxina) devem ser usados com cautela quando administrados concomitantemente à enzalutamida e podem exigir ajustes de dose para manterem concentrações plasmáticas ideais.
Substratos de BCRP e MRP2
Dados in vitro indicam que a enzalutamida pode ser um inibidor da proteína resistente ao câncer de mama (BCRP) e da proteína 2 associada à resistência a multidrogas (MRP2) em concentrações clínicas relevantes na parede gastrointestinal durante a absorção. Consequentemente, a enzalutamida pode aumentar as concentrações plasmáticas de medicamentos coadministrados que são substratos de BCPR e MRP2. Os efeitos da enzalutamida em substratos de BCRP e MRP2 não foram avaliados in vivo. Medicamentos orais com uma abrangência terapêutica estreita que são substratos de BCRP e MRP2 (ex. metotrexato) devem ser usados com cautela quando administrados concomitantemente à enzalutamida e podem exigir ajustes de dose para manterem concentrações plasmáticas ideais.
Efeito dos alimentos sobre exposições à enzalutamida
Os alimentos não têm efeito clinicamente significativo sobre o grau de exposição à enzalutamida. Em ensaios clínicos, foi administrado a enzalutamida independentemente dos alimentos.

Cuidados de armazenamento.

As cápsulas moles de XTANDI devem ser armazenadas à temperatura ambiente (entre 15° e 30°C). Proteja da umidade. A validade é de 24 meses após a data de fabricação.
Não use este medicamento após a data de validade informada na caixa. A data de validade refere-se ao último dia daquele mês.
Não tome nenhuma cápsula que esteja vazando, danificada ou mostre sinais de adulteração.
Número de lote e datas de fabricação e validade: vide embalagem.
Não use medicamento com o prazo de validade vencido. Guarde-o em sua embalagem original.
XTANDI é fornecido na forma de cápsulas gelatinosas moles, oblongas, de cor branca a quase branca, com impressão "ENZ" em tinta preta em um dos lados.
Antes de usar, observe o aspecto do medicamento. Caso ele ainda esteja na data de validade e você observe alterações em seu aspecto, consulte o farmacêutico para saber se é seguro usar o medicamento.
Todo medicamento deve ser mantido fora do alcance das crianças.

Posologia e modo de usar.

Posologia
A dose recomendada de XTANDI é 160 mg (quatro cápsulas de 40 mg) como dose oral única diária. XTANDI pode ser ingerido com ou sem alimentos.
Se o paciente esquecer-se de tomar XTANDI no horário usual, a dose prescrita deve ser tomada o mais próximo possível deste horário. Se o paciente esquecer uma dose por um dia inteiro, o tratamento deve ser reiniciado no dia seguinte com a dose diária usual.
Populações especiais
Pacientes idosos
Não é necessário ajuste de dose para pacientes idosos (consulte a Seção 3. Características Farmacológicas).
Pacientes com comprometimento hepático
Não é necessário ajuste de dose para pacientes com comprometimento hepático leve ou moderado (Child-Pugh Classe A ou B; consulte a Seção 3. Características Farmacológicas). É aconselhável cautela em pacientes com comprometimento hepático grave (Child-Pugh Classe C; consulte a Seção 5. Advertências e Precauções).
Pacientes com comprometimento renal
Não é necessário ajuste de dose para pacientes com comprometimento renal leve ou moderado (consulte a Seção 3. Características Farmacológicas). É necessária cautela em pacientes com comprometimento renal grave ou doença renal em estágio final (consulte a Seção 5. Advertências e Precauções).
Sexo
A enzalutamida não é indicada para uso em mulheres.
População pediátrica
A enzalutamida não é indicada para uso em crianças.
Método de administração
XTANDI deve ser ingerido com água, com ou sem alimentos.
Este medicamento não deve ser partido, aberto ou mastigado.

Reações adversas.

As reações adversas mais comuns são astenia/fadiga, ondas de calor, dor de cabeça e hipertensão. Outras reações adversas importantes incluem quedas, fraturas não patológicas, transtorno cognitivo e neutropenia.
Ocorreram convulsões em 0,4% dos pacientes tratados com enzalutamida e em 0,1% dos pacientes tratados com placebo.
Casos raros de síndrome de encefalopatia posterior reversível (PRES) foram relatados em pacientes tratados com enzalutamida.
As reações adversas observadas em estudos clínicos estão listadas abaixo por categoria de frequência. As categorias de frequência são definidas como segue: muito comuns (≥ 1/10); comuns (≥ 1/100 a < 1/10); incomuns (≥ 1/1.000 a < 1/100); raras (≥ 1/10.000 a < 1/1.000); muito raras ( < 1/10.000). Dentro de cada grupo de frequência, as reações adversas estão apresentadas por ordem decrescente de gravidade.

* Relatos espontâneos da experiência pós-comercialização **Inclui todas as fraturas com exceção das fraturas patológicas.
Convulsões
No ensaio clínico de Fase 3 randomizado, foram relatadas convulsões em pacientes ( < 1%) tratados com enzalutamida. Não foi relatado o mesmo para pacientes tratados com placebo. Não existe experiência de ensaio clínico com enzalutamida em pacientes que tenham tido uma convulsão, ou pacientes com predisposição para convulsões, ou em pacientes usando medicamentos concomitantes que possam reduzir o limiar convulsivo.
Atenção: este produto é um medicamento novo e, embora as pesquisas tenham indicado eficácia e segurança aceitáveis, mesmo que indicado e utilizado corretamente, podem ocorrer eventos adversos imprevisíveis ou desconhecidos. Nesse caso, notifique os eventos adversos pelo Sistema de Notificações em Vigilância Sanitária - NOTIVISA, disponível em www.anvisa.gov.br/hotsite/notivisa/index.htm, ou para a Vigilância Sanitária Estadual ou Municipal.

Superdose.

Não existe antídoto para XTANDI. No caso de superdose, interrompa o tratamento com XTANDI e inicie medidas gerais de suporte levando em consideração a meia-vida de 5,8 dias. Pacientes podem ter o risco aumentado de convulsões após uma superdose.
Em caso de intoxicação ligue para 0800 722 6001, se você precisar de mais orientações.

Dizeres legais.

Registro MS-1.7717.0006
VENDA SOB PRESCRIÇÃO MÉDICA

Principios Activos de Xtandi

Patologías de Xtandi

Laboratorio que comercializa Xtandi

Kairos

Ver Preços Atualizados

Consulta preços em farmácias

®2025 PR Vade-mécum. Todos os direitos reservados.