Logo PR Vademécum

PR Vade-mécum

GYNAZOLE-1

SIGMA PHARMA

butoconazol

Antiinfeccioso vaginal.

Apresentações.

Creme vaginal 20 mg/g
Embalagem contendo aplicador pré-envasado com 5 g.
USO INTRAVAGINAL
USO ADULTO

Composição.

Cada 5 g do creme contem: nitrato de butoconazol 100 mg, excipientes q.s.p* 5 g. * sorbitol, petrolato líquido, monoisoestearato de glicerila, oleato de poliglicerila, cera microcristalina, dióxido de silício, edetato dissódico diidratado, metilparabeno, propilparabeno, propilenoglicol, água purificada.

Informações técnicas.


1. INDICAÇÕES
Gynazole-1®
está indicado para tratamento local de infecções micóticas vulvovaginais causadas por Candida albicans. O diagnóstico deve ser confirmado por esfregaços de KOH e/ou culturas.

2. RESULTADOS DE EFICÁCIA
Candidíase Vulvovaginal:
Dois estudos foram realizados entre o creme de nitrato de butoconazol 2% com o clotrimazol comprimidos. Havia 322 pacientes inscritos, 161 receberam creme vaginal butoconazol 2,0% e 161 pacientes clotrimazol comprimido vaginal 500 mg. Na segunda visita de seguimento (30 dias pós-terapia), 118 pacientes no grupo butoconzole e 116 no grupo clotrimazol foram avaliáveis para análise de eficácia, respectivamente.
Todos estes pacientes tiveram infecção causada por Candida albicans. A eficácia da droga foi avaliada pelo estudo avaliando as taxas de cura clínica, micológica e terapêuticas, que estão resumidas na Tabela 1. A cura terapêutica foi definida como a resolução completa dos sinais e sintomas de candidíase vaginal (cura clínica), juntamente com um exame de KOH negativa e cultura negativa para Candida spp. (erradicação microbiológica) ao longo do follow-up. A taxa de cura terapêutica foi de 67% no grupo butoconazol e 61% no grupo de clotrimazol.


3. CARACTERÍSTICAS FARMACOLÓGICAS
Gynazole-1®
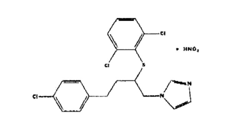
creme vaginal contém nitrato de butoconazol 2%, um derivado do imidazol com atividade antifúngica. Seu nome químico é (±)-1-[4-(p-clorofenil)-2-[(2,6-diclorofenil)tio]butil]imidazolamononitrato, apresentando a estrutura química indicada a seguir:

O nitrato de butoconazol é um pó cristalino branco com peso molecular de 474.79. É escassamente solúvel em metanol; ligeiramente solúvel em clorofórmio, cloreto de metileno, acetona e etanol; ligeiramente solúvel em acetato de etila e praticamente insolúvel em água. Seu ponto de fusão situa-se em aproximadamente 159oC, com decomposição.
Após a administração vaginal do creme de nitrato de butoconazol a 2%, foi absorvido, em média, 1,7% (faixa 1,3 - 2,2%) da dose. Os níveis plasmáticos da droga e seus metabólitos são alcançados entre 12 e 24 horas após a administração vaginal.
O mecanismo exato de ação antifúngica do nitrato de butoconazol é desconhecido; porém, presume-se que sua função seja semelhante à dos demais derivados imidazólicos pela inibição da síntese de esteróides. Geralmente, os imidazóis inibem a conversão do lanosterol para ergosterol, resultando na mudança da composição de lipídios da membrana da célula fúngica. Esta mudança estrutural altera a permeabilidade da célula e, finalmente, resulta na disrupção osmótica ou aumento da inibição da célula fúngica.
O nitrato de butoconazol é um derivado imidazólico que apresenta atividade antifúngica in vitro, sendo clinicamente eficaz contra infecções vaginais por Candida albicans.

4. CONTRAINDICAÇÕES
Este medicamento não pode ser usado por pacientes que sejam sensíveis aos componentes da fórmula.
Categoria C: Este medicamento não deve ser utilizado por mulheres grávidas sem orientação médica ou do cirurgião-dentista.

5. ADVERTÊNCIAS E PRECAUÇÕES
Gynazole-1®
pode ser usado durante a gravidez a critério médico, somente se os benefícios potenciais justificarem os riscos potenciais ao feto.
Categoria de risco C: Não foram realizados estudos em animais e nem em mulheres grávidas; ou então, os estudos em animais revelaram risco, mas não existem estudos disponíveis realizados em mulheres grávidas.
Este medicamento não deve ser utilizado por mulheres grávidas sem orientação médica ou do cirurgião-dentista.
Em ratas fêmeas grávidas que receberam administração de 6 mg/kg/dia de nitrato de butoconazol por via intravaginal durante o período de organogênese, foi observado aumento da taxa de reabsorção e diminuição do tamanho das crias; porém, não foi observada teratogenicidade. Esta dose representa uma margem de segurança de 130 a 133 vezes com base nos níveis séricos atingidos em ratos após a administração intravaginal, comparado com os níveis séricos alcançados em humanos após a administração intravaginal da dose terapêutica recomendada de nitrato de butoconazol.
O nitrato de butoconazol não apresenta efeito adverso aparente quando administrado por via oral para ratas prenhas durante a organogênese com níveis de dosagem de até 50 mg/kg/dia (5 vezes a dose humana baseada em mg/m2). Doses orais de 100, 300 ou 750 mg/kg/dia (10, 30 ou 75 vezes a dose humana baseada em mg/m2, respectivamente) resultaram em mal formações fetais (defeitos da parede abdominal, fenda palatina), mas também tornou-se evidente o estresse materno com estes altos níveis de dosagem. Porém, não foram observados efeitos adversos sobre as crias de coelhos que receberam nitrato de butoconazol por via oral, inclusive com níveis de dosagem maternalmente estressantes (p. ex., 150 mg/kg/dia, 24 vezes a dose humana baseada em mg/m2).
O nitrato de butoconazol, como todos os demais agentes antifúngicos azólicos, causa distocia em ratos quando o tratamento é prolongado além do parto. Porém, este efeito não foi observado em coelhos tratados com até 100 mg/kg/dia (16 vezes a dose humana baseada em mg/m2).
Não existem estudos adequados e bem controlados em mulheres grávidas.
Lactação:
Não é conhecido se esta droga é excretada no leite materno. Como muitas drogas o são, devem ser adotadas precauções quando o nitrato de butoconazol for administrado durante a lactação.
Uso Pediátrico:
A segurança e eficácia não foram estabelecidas em crianças.
Não foram estabelecidas a segurança e a eficácia em menores de 18 anos.
O creme que está dentro do aplicador de Gynazole- 1® contém óleo mineral. O óleo mineral pode enfraquecer o látex ou produtos de borracha como preservativos (camisinha) ou diafragma de contracepção vaginal, que é um pequeno anel de metal recoberto por uma película de borracha ou silicone colocado pela mulher dentro da vagina antes da relação sexual; portanto esses produtos não devem ser utilizados até 5 dias após o tratamento com Gynazole- 1®.
Não utilizar outra preparação vaginal como duchas, desodorante, creme e, diafragma durante o tratamento com Gynazole- 1®.
Não usar diafragma, esponja espermicida e gel vaginal até 5 dias após o tratamento, creme e diafragma durante o tratamento com Gynazole- 1®.
O paciente não deve estar usando medicação sistêmica (antibióticos, corticosteróides pu drogas imunossupressoras), durante o tratamento Gynazole- 1®, pois podem afetar doenças fúngicas.
Caso ocorra contato do creme com os olhos, estes devem ser lavados abundantemente com água por pelo menos 15 minutos.
Caso ocorra contato do creme com a pele, esta deve ser lavada com água e sabão.
Caso os sintomas clínicos persistam, devem ser repetidos os testes microbiológicos para excluir outros patógenos, para confirmar o diagnóstico ou para excluir outras condições que podem predispor a paciente à infecções vaginais fúngicas recorrentes.
Carcinogênese:
Não foram realizados estudos em longo prazo com animais para avaliar o potencial carcinogênico do nitrato de butoconazol.
Mutagenicidade:
O nitrato de butoconazol não foi mutagênico no teste bacteriano Ames, para leveduras, no teste de aberração cromossômica de células CHO, no teste do ponto de mutação CHO/HGPRT, com micronúcleos de camundongos e em testes letais dominantes em ratos.
Fertilidade prejudicada:
Não foi observada diminuição de fertilidade em coelhos ou ratos que receberam administração de nitrato de butoconazol em doses orais até 30 mg/kg/dia (5 vezes a dose humana baseada em mg/m2) ou 100 mg/kg/dia (10 vezes a dose humana baseada em mg/m2), respectivamente.
Pacientes idosas:
Não há advertências ou recomendações especiais sobre o uso do produto em pacientes idosas.

6. INTERAÇÕES MEDICAMENTOSAS
Agentes antifúngicos azólicos aumentam o efeito das Ciclosporinas.
Agentes antifúngicos azólicos diminuem o efeito da Rifampicina

7. CUIDADOS DE ARMAZENAMENTO DO MEDICAMENTO
Manter à temperatura ambiente (15°C a 30° C). Proteger da luz e manter em lugar seco. O prazo de validade do produto é de 24 meses a partir da data da fabricação.
Número de lote e datas de fabricação e validade: vide embalagem.
Não use medicamento com o prazo de validade vencido. Guarde-o em sua embalagem original.
Gynazole- 1® é um creme de cor branca que não contém grânulos e impurezas, de odor característico.
Antes de usar, observe o aspecto do medicamento.
Todo medicamento deve ser mantido fora do alcance das crianças.

8. POSOLOGIA E MODO DE USAR
A
dose recomendada de Gynazole- 1® é um aplicador 1 aplicador pré-envasado (aproximadamente 5 gramas do creme), por via intravaginal, em dose única.
Esta quantidade de creme contém 100 mg de nitrato de butoconazol.
A higienização das mãos é necessária antes e após a aplicação.
Passo 1: Preparando o aplicador
Abrir a embalagem de proteção e retirar o aplicador pré-envasado. O aplicador foi projetado para ser usado com a ponta já colocada. Não retire a ponta; não use o aplicador caso a ponta do mesmo tenha sido retirada. Não aqueça o aplicador

Segure o aplicador firmemente, puxe o anel para trás e estenda o êmbolo completamente.
Antes de introduzir o aplicador, empurre levemente o êmbulo para verificar como o creme é liberado. Este procedimento facilitará a aplicação. Em seguida, introduza o aplicador na vagina.
Passo 2: Introduzindo o aplicador

Introduza cuidadosamente o aplicador na vagina de forma tão profunda enquanto confortável (veja a Figura 3)
Passo 3: Aplicando o creme:
Empurre o êmbolo totalmente para liberar o creme (Veja figura 4). Retirar o aplicador vazio da vagina e descartar.

Após utilizar o medicamento conforme as "instruções de uso", o aplicador deverá ser descartado.

9. REAÇÕES ADVERSAS
Reações incomuns ( > 1/1.000 e < 1/100): dor abdominal com cólicas, prurido no órgão genital, queimação vaginal, corrimento vaginal, irritação vaginal.
Reações raras ( > 1/10.000 e < 1.000): reações alérgicas, dermatite de contato, dor de cabeça, inquietação, prurido de pele, rash cutâneo, urticária.

Em casos de eventos adversos, notifique ao Sistema de Notificações em Vigilância Sanitária - NOTIVISA, disponível em http://www.anvisa.gov.br/hotsite/notivisa/index.htm, ou para a Vigilância Sanitária Estadual ou Municipal.

10. SUPERDOSE
Gynazole-1®
vem com a dose exata a ser aplicada dentro da vagina. Porém, caso alguém acidentalmente engula o creme vaginal, esta pessoa deverá beber quantidade moderada de água.
Em caso de contato com os olhos, lava-los abundantemente com água por no mínimo 15 minutos.
Em caso de intoxicação ligue para 0800 722 6001, se você precisar de mais orientações.

Dizeres legais.

Reg. MS: n° 1.3569.0028
VENDA SOB PRESCRIÇÃO MÉDICA.

Principios Activos de Gynazole

Patologías de Gynazole

Laboratorio que comercializa Gynazole

Kairos

Ver Preços Atualizados

Consulta preços em farmácias

®2025 PR Vade-mécum. Todos os direitos reservados.